19 svar
189 visningar
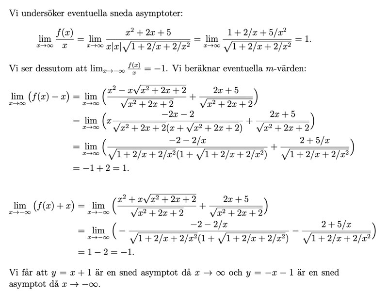
Koizenu 204
Postad: 26 okt 2025 22:05

Hitta sned asymptot

f(x)=x2+2x+5x2+2x+2

 

facit säfer detta Jag fattar inte vart minustecknet kommer ifrån när de vill hitta den sneda asymptoten då x->-oändligheten (rad 2 av lim x går mot -oändlighet)

naytte 7898 – Moderator
Postad: 26 okt 2025 22:30 Redigerad: 26 okt 2025 22:31

De bryter ut |x||x| från rottecknen och |x|=-x|x|=-x om xx är negativt (vilket det är då x-x\to-\infty).

Koizenu 204
Postad: 26 okt 2025 22:37
naytte skrev:

De bryter ut |x||x| från rottecknen och |x|=-x|x|=-x om xx är negativt (vilket det är då x-x\to-\infty).

men om de tar ut -x från båda paranteser, blir det inte då -x * -x = x^2 ?

Yngve Online 42666
Postad: 26 okt 2025 23:37

Faktorerna framför rotuttrycket i nämnaren är x*|x|.

  • Då x > 0 så är |x| = x och då blir faktorerna x*x = x2
  • Då x < 0 så är |x| = -x och då blir faktorerna x*(-x) = -x2
Koizenu 204
Postad: 27 okt 2025 00:10
Yngve skrev:

Faktorerna framför rotuttrycket i nämnaren är x*|x|.

  • Då x > 0 så är |x| = x och då blir faktorerna x*x = x2
  • Då x < 0 så är |x| = -x och då blir faktorerna x*(-x) = -x2

så faktorisera man ut -x från den ena rotuttryck och x från den andra?

PATENTERAMERA 7825
Postad: 27 okt 2025 00:31

Tänk på att x2=x.

1x2+2x+2=1x2(1+2/x+2/x2)=1x21+2/x+2/x2=1x11+2/x+2/x2.

Koizenu 204
Postad: 27 okt 2025 01:04
PATENTERAMERA skrev:

Tänk på att x2=x.

1x2+2x+2=1x2(1+2/x+2/x2)=1x21+2/x+2/x2=1x11+2/x+2/x2.

Vad tar man ut från 1/(x-sqrt(x^2+2x+2)) då?

Yngve Online 42666
Postad: 27 okt 2025 07:11 Redigerad: 27 okt 2025 07:12
Koizenu skrev:

så faktorisera man ut -x från den ena rotuttryck och x från den andra?

Det finns bara ett rotuttryck, nämligen det i nämnaren. Och det de faktoriserar ut är x2, vilket blir till |x| utanför rotuttrycket.

Är du med på omskrivningen som PATENTERAMERA gör i svar #6?

Om inte, vilken del känns oklar?

Yngve Online 42666
Postad: 27 okt 2025 07:14
Koizenu skrev:.

Vad tar man ut från 1/(x-sqrt(x^2+2x+2)) då?

Det finns inget sådant uttryck.

Koizenu 204
Postad: 27 okt 2025 08:04
Yngve skrev:
Koizenu skrev:.

Vad tar man ut från 1/(x-sqrt(x^2+2x+2)) då?

Det finns inget sådant uttryck.

Jag menar denna 

Yngve Online 42666
Postad: 27 okt 2025 09:11 Redigerad: 27 okt 2025 09:13

Aha, då förstår jag.

Det är samma sak där.

Första termens nämnare är 

x2+2x+2(x+x2+2x+2)\sqrt{x^2+2x+2}(x+\sqrt{x^2+2x+2})

Bryt ut x2x^2 ur båda rotuttrycken:

|x|1+2x+2x2(x+|x|1+2x+2x2)|x|\sqrt{1+\frac{2}{x}+\frac{2}{x^2}}(x+|x|\sqrt{1+\frac{2}{x}+\frac{2}{x^2}})

Eftersom x > 0 här så är |x|=x|x| = x:

x1+2x+2x2(x+x1+2x+2x2)x\sqrt{1+\frac{2}{x}+\frac{2}{x^2}}(x+x\sqrt{1+\frac{2}{x}+\frac{2}{x^2}})

Faktorisera ut xx ur sista parentesen:

x1+2x+2x2x(1+1+2x+2x2)x\sqrt{1+\frac{2}{x}+\frac{2}{x^2}}x(1+\sqrt{1+\frac{2}{x}+\frac{2}{x^2}})

Samla x-faktorerna:

x2(1+2x+2x2(1+1+2x+2x2))x^2(\sqrt{1+\frac{2}{x}+\frac{2}{x^2}}(1+\sqrt{1+\frac{2}{x}+\frac{2}{x^2}}))

Koizenu 204
Postad: 27 okt 2025 09:13
Yngve skrev:

Aha, då förstår jag.

Det är samma sak där.

Första termens nämnare är 

x2+2x+2(x+x2+2x+2)\sqrt{x^2+2x+2}(x+\sqrt{x^2+2x+2})

Bryt ut x2x^2 ur båda rotuttrycken:

|x|1+2x+2x2(x+|x|1+2x+2x2)|x|\sqrt{1+\frac{2}{x}+\frac{2}{x^2}}(x+|x|\sqrt{1+\frac{2}{x}+\frac{2}{x^2}})

Eftersom x > 0 här så är |x|=x|x| = x:

x1+2x+2x2(x+x1+2x+2x2)x\sqrt{1+\frac{2}{x}+\frac{2}{x^2}}(x+x\sqrt{1+\frac{2}{x}+\frac{2}{x^2}})

Faktoriserar ut xx ur sista parentesen:

x1+2x+2x2x(1+1+2x+2x2)x\sqrt{1+\frac{2}{x}+\frac{2}{x^2}}x(1+\sqrt{1+\frac{2}{x}+\frac{2}{x^2}})

Samla x-faktorerna:

x2(1+2x+2x2(1+1+2x+2x2))x^2(\sqrt{1+\frac{2}{x}+\frac{2}{x^2}}(1+\sqrt{1+\frac{2}{x}+\frac{2}{x^2}}))

Men om x < 0? Blir det samma ?

Yngve Online 42666
Postad: 27 okt 2025 09:14
Koizenu skrev:

Men om x < 0? Blir det samma ?

Om x < 0 så ska du byta ut alla |x| mot -x

hansa 212
Postad: 27 okt 2025 09:35

Koizenu 204
Postad: 27 okt 2025 09:37
Yngve skrev:
Koizenu skrev:

Men om x < 0? Blir det samma ?

Om x < 0 så ska du byta ut alla |x| mot -x

Så jag tar ut abs(x) som är -x , så om man multiplicerar -x med -x blir det x^2? Jag fattar fortfarande inte de fick ett - framför uttrycket

Yngve Online 42666
Postad: 27 okt 2025 11:22

Det är x*(-x), inte (-x)*(-x)

Yngve Online 42666
Postad: 27 okt 2025 12:13 Redigerad: 27 okt 2025 12:20

I båda fallen är det x*|x|

  • Om nu x > 0 så är |x| = x och vi får då x*|x| = x*x = x2
  • Om istället x < 0 så är |x| = -x och vi får då x*(-x) = -x2

========

Jag tror att du blandar ihop det lite och tänker att x ska bytas mot -x om x < 0. Men så är det inte.

x = x, oavsett om x > 0 eller om x < 0.

Annars blir det tokigt, vilket följande exempel illustrerar:

  1. Sätt a = x.
  2. Om nu x = 5 så blir a = x = 5, vilket är enligt förväntan.
  3. Men om du skulle byta ut x mot -x då x < 0 så blir det fel.
  4. Då skulle nämligen t.ex. x = -5 innebära att a = -x = -(-5) = 5.
hansa 212
Postad: 27 okt 2025 12:26

Koizenu 204
Postad: 27 okt 2025 12:34
Yngve skrev:

I båda fallen är det x*|x|

  • Om nu x > 0 så är |x| = x och vi får då x*|x| = x*x = x2
  • Om istället x < 0 så är |x| = -x och vi får då x*(-x) = -x2

========

Jag tror att du blandar ihop det lite och tänker att x ska bytas mot -x om x < 0. Men så är det inte.

x = x, oavsett om x > 0 eller om x < 0.

Annars blir det tokigt, vilket följande exempel illustrerar:

  1. Sätt a = x.
  2. Om nu x = 5 så blir a = x = 5, vilket är enligt förväntan.
  3. Men om du skulle byta ut x mot -x då x < 0 så blir det fel.
  4. Då skulle nämligen t.ex. x = -5 innebära att a = -x = -(-5) = 5.

Aha! Så från det enda uttrycket faktoriserar man abs(x) och från det andra bara x

Yngve Online 42666
Postad: 27 okt 2025 13:59
Koizenu skrev:

Aha! Så från det enda uttrycket faktoriserar man abs(x) och från det andra bara x

Jag är osäker på vad du menar här.

Förstår du alla steg I svar #11?

Svara
Close