Hjälp

Undvik rubriken hjälp.
Vad behöver du hjälp med? Jag ser uppgiften men jag vet inte vad det är i den som du behöver hjälp med.
Hej Jonto !
Kan du hjälpa mig med svaret?
Jag kan inte hjälpa dig med svaret för det är helt ointressant.
Däremot kan jag hjälpa dig med att komma fram till svaret.
Har du funderat över hur uppgiften kan lösas?
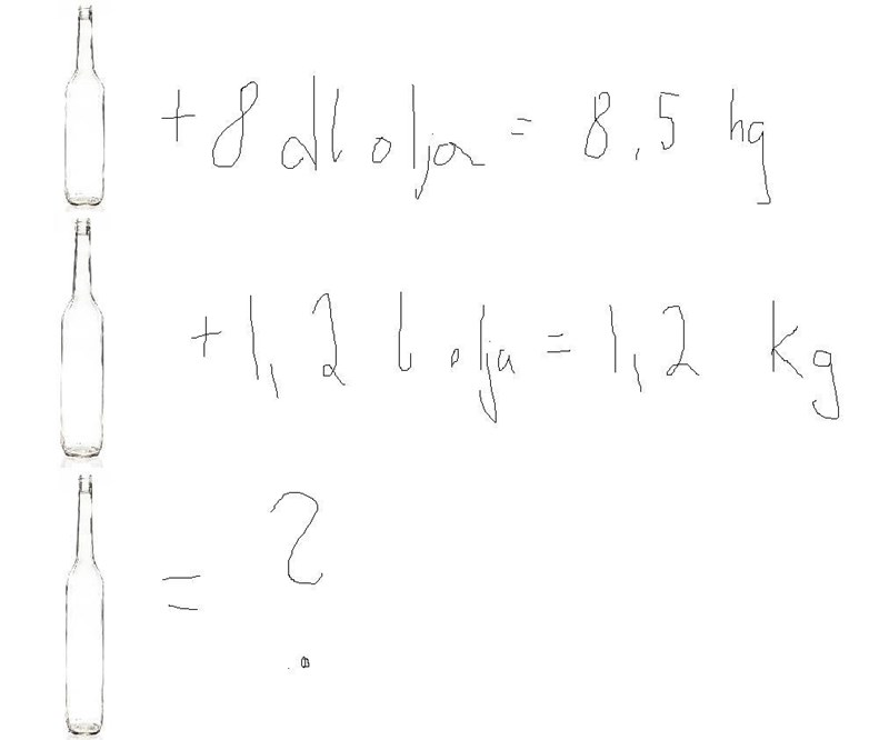
Vad ger uppgiften för information om hur mycket oljan väger.
Uppgiften bygger på att du har en flaska som väger olika mycket beroende på hur mycket olja som finns i den. Vi vet vad den väger när den är fylld med olika mängder.
Uppgiften vill veta hur mycket själva flaskan väger utan olja i.
Har du någon idé på hur man kan ta reda på det?

En bild över hur problemet ser ut kan kanske hjälpa till att "sätta igång" tankarna.
Jag vet inte om du kan hjälpa mig på svart
Tack för dig
Bahmand skrev:Jag vet inte om du kan hjälpa mig på svart
Tack för dig
Hur menar du? Jag förstår inte riktigt.
Beskriv gärna vad det är som ställer till problem i uppgiften eller vad du inte förstår. Då är det enklare för mig/oss att förklara på rätt sätt så att du förstår.
🍾 = 0,5
Bahmand skrev:🍾 = 0,5
Nej. Hur tänkte du när du fick fram det?
Visa hur du försökte så kan jag se var det gick fel.
P.S. Glöm såklart inte tänka på att uppgiften innehåller olika enheter såsom liter, deciliter, hekto och kilo som du måste omvandla ibland
Bahmad, du har större chans att få hjälp om du följer Pluggakutens regler:
- Ge din tråd en rubrik som bekskriver vad den handlar om - du skulle kunna kalla den här tråden för "Flaska med oja", exempelvis. Det stå rsärskilt i reglerna (och i rutan där du skriver in rubriken) att du skall undvika uttryck i stil med "Hjälp". (Detta ä rtråd nummer 1 436 med rubriken hjälp, så du är inte ensam).
- Visa hur du har tänkt, hur du har försökt och hur långt du har kommit. Meningen med Pluggakuten är att du skall få den hjälp du behöver för att kunna läsa dina uppgifter själv, inte att någon skall servera dig färdigalösningar på dina problem.
- Lägg din tråd på rätt ställe. Detta är inte en procentuppgift.
/moderator