Hjälp med att förstå en uppgift 2
Hej!
Jag läser matematik 2b och sitter med en uppgift, varav frågan lyder:
''Vilket värde skall a ha för att en rät linje med riktningskoefficienten 2 skall gå genom punkterna (a-1, 2) och (-2, a +2)?''
Till att börja med, har jag förstått rätt att riktningskoefficienten = k-värdet? Ska alltså k-värdet vara 2 här?
Vet inte riktigt hur det går till att räkna med a i det här fallet. Är det k = Δy / Δx jag ska använda mig av, och hur skriver jag där? Antar att jag på något sätt måste få ut a? Om någon hade kunnat hjälpa mig vidare på vägen så min lilla hjärna förstår det här hade det varit supersnällt. Tack på förhand!
Välkommen till pluggakuten.
Mycket rätt, k=2.
Du har fått två koordinater, linjen ska gå igenom båda. Glöm inte att koordinater är (x, y). (a-1, 2) och (-2, a +2) kanske ser främmande ut, men kom bara ihåg att det är x och y värden för två punkter. Använd k=deltay/deltax
Qetsiyah skrev:Välkommen till pluggakuten.
Mycket rätt, k=2.
Du har fått två koordinater, linjen ska gå igenom båda. Glöm inte att koordinater är (x, y). (a-1, 2) och (-2, a +2) kanske ser främmande ut, men kom bara ihåg att det är x och y värden för två punkter. Använd k=deltay/deltax
Tack för svar! Ja nä det förstår jag, tror jag i alla fall. Det är alltså (a-1=y, 2=x) (-2=y, a +2=x)?
Blir det:
... då? Det måste ju bli:
... eller? Och hur går jag vidare här?
Lös ekvationen för att bestämma a.
Ett rimligt första steg är att multiplicera båda sidor med (-a-1).
Jonto skrev:Lös ekvationen för att bestämma a.
Ett rimligt första steg är att multiplicera båda sidor med (-a-1).
Tack för svar! Okej, så jag ska alltså skriva såhär:
... eller har jag skrivit fel då? Och det blir:
... eller? Åh jag tycker det är så svårt!
Nja. När du multiplicerar högerledet med (-a-1) så blir ju bara täljaren kvar. Titta här:
Det var just därför jag ville multiplicera med (-a-1) för att "få bort det från nämnaren" då multiplikation och division tar ut varandra.
Nu kan du fortsätta från min sista rad 2(-a-1)=a
Jonto skrev:Nja. När du multiplicerar högerledet med (-a-1) så blir ju bara täljaren kvar. Titta här:
Det var just därför jag ville multiplicera med (-a-1) för att "få bort det från nämnaren" då multiplikation och division tar ut varandra.
Nu kan du fortsätta från min sista rad 2(-a-1)=a
Tack för svar!
Ahaaaa, ja juste. Slarvfel av mig! Okej, så nu ska jag alltså multiplicera 2 och a med (-a-1)?
Man kan utgå från ekvationen för en rät linje: y = kx + m. Här har vi fått veta att k = 2. Sätt in det vi vet om olika punkter:
(a-1, 2) ger 2 = 2(a-1) + m
(-2, a +2) ger a+2 = 2*(-2) + m
Nu kan vi få fram a.
aeco skrev:Jonto skrev:Nja. När du multiplicerar högerledet med (-a-1) så blir ju bara täljaren kvar. Titta här:
Det var just därför jag ville multiplicera med (-a-1) för att "få bort det från nämnaren" då multiplikation och division tar ut varandra.
Nu kan du fortsätta från min sista rad 2(-a-1)=a
Tack för svar!
Ahaaaa, ja juste. Slarvfel av mig! Okej, så nu ska jag alltså multiplicera 2 och a med (-a-1)?
Multiplicera in i parentesen på vänstersidan ja.
Då ges -2a-2=a
Första steget här är att addera båda sidor med 2a
Jonto skrev:aeco skrev:Jonto skrev:Nja. När du multiplicerar högerledet med (-a-1) så blir ju bara täljaren kvar. Titta här:
Det var just därför jag ville multiplicera med (-a-1) för att "få bort det från nämnaren" då multiplikation och division tar ut varandra.
Nu kan du fortsätta från min sista rad 2(-a-1)=a
Tack för svar!
Ahaaaa, ja juste. Slarvfel av mig! Okej, så nu ska jag alltså multiplicera 2 och a med (-a-1)?
Multiplicera in i parentesen på vänstersidan ja.
Då ges -2a-2=a
Första steget här är att addera båda sidor med 2a
Tack för svar. Okej, så nu har jag alltså:
... som blir:
Eller? Hur blir det med -2, är det den jag ska addera i nästa steg?
aeco skrev:Jonto skrev:aeco skrev:Jonto skrev:Nja. När du multiplicerar högerledet med (-a-1) så blir ju bara täljaren kvar. Titta här:
Det var just därför jag ville multiplicera med (-a-1) för att "få bort det från nämnaren" då multiplikation och division tar ut varandra.
Nu kan du fortsätta från min sista rad 2(-a-1)=a
Tack för svar!
Ahaaaa, ja juste. Slarvfel av mig! Okej, så nu ska jag alltså multiplicera 2 och a med (-a-1)?
Multiplicera in i parentesen på vänstersidan ja.
Då ges -2a-2=a
Första steget här är att addera båda sidor med 2a
Tack för svar. Okej, så nu har jag alltså:
... som blir:
Eller? Hur blir det med -2, är det den jag ska addera i nästa steg?
Du vill få a ensamt. Nu har du 3a på ena sidan.
Laguna skrev:aeco skrev:Jonto skrev:aeco skrev:Jonto skrev:Nja. När du multiplicerar högerledet med (-a-1) så blir ju bara täljaren kvar. Titta här:
Det var just därför jag ville multiplicera med (-a-1) för att "få bort det från nämnaren" då multiplikation och division tar ut varandra.
Nu kan du fortsätta från min sista rad 2(-a-1)=a
Tack för svar!
Ahaaaa, ja juste. Slarvfel av mig! Okej, så nu ska jag alltså multiplicera 2 och a med (-a-1)?
Multiplicera in i parentesen på vänstersidan ja.
Då ges -2a-2=a
Första steget här är att addera båda sidor med 2a
Tack för svar. Okej, så nu har jag alltså:
... som blir:
Eller? Hur blir det med -2, är det den jag ska addera i nästa steg?
Du vill få a ensamt. Nu har du 3a på ena sidan.
Ja men såklart!
... blir det så alltså?
Ska jag sätta in parenteser någonstans?
aeco skrev:
Ja men såklart!
... blir det så alltså?
Ska jag sätta in parenteser någonstans?
Nej, det blir inte så. Du har ekvationen -2=3a. Vad skall du göra för att få a ensamt i högerledet (d v s vad är motsatsen till "gånger tre")?
Smaragdalena skrev:aeco skrev:Ja men såklart!
... blir det så alltså?
Ska jag sätta in parenteser någonstans?
Nej, det blir inte så. Du har ekvationen -2=3a. Vad skall du göra för att få a ensamt i högerledet (d v s vad är motsatsen till "gånger tre")?
Tack för svar! Aha, så jag ska dividera med 3 istället? Alltså:
... blir det så då?
Ja, fast du borde inte avrunda svaret utan svara exakt.
Smaragdalena skrev:Ja, fast du borde inte avrunda svaret utan svara exakt.
Jag får fram 0,6666666667, ska jag skriva in allt det?
Nej, du skall svara a=-2/3. Det är exakt.
EDIT: Och jag märkte inte förrän nu att du hade tappat bort minustecknet. Det spelar stor roll!
Smaragdalena skrev:Nej, du skall svara a=-2/3. Det är exakt.
EDIT: Och jag märkte inte förrän nu att du hade tappat bort minustecknet. Det spelar stor roll!
Tack för svar!
Okej, så jag ska alltså svara i bråkform här, d.v.s
Var hade jag tappat bort minustecknet? Innan 0,67? Isf var det ett slarvfel, men det ska jag ju ändå inte skriva nu. Tänkte så det inte var någonstans på vägen?
aeco skrev:... blir det så då?
Här tappade du bort minustecknet. Svaret är att a=-2/3.
Smaragdalena skrev:
aeco skrev:... blir det så då?
Här tappade du bort minustecknet. Svaret är att a=-2/3.
Tack för hjälpen! Jättesnällt!
Smaragdalena skrev:
aeco skrev:... blir det så då?
Här tappade du bort minustecknet. Svaret är att a=-2/3.
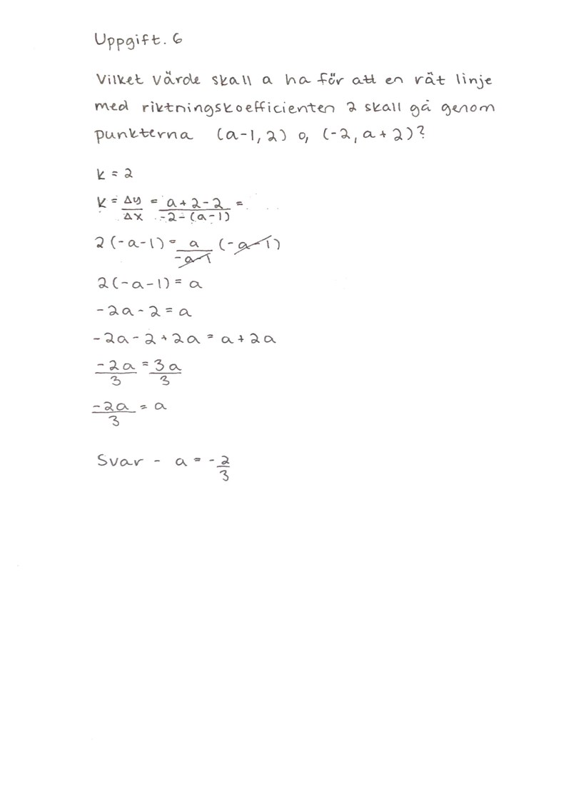
Kan du kolla om min uträkning ser bra ut på min anteckning?

Din lösning skulle bli ännu tydligare med ett led till på den andra raden som börjar med k = , så att man ser att k = a/(-a-1). På nästa rad gör du två saker samtidigt - sätter in att k = 2 och multiplicerar båda sidor med -a-1, det gör det lite otydligt. Antingen bör du skriva ut varenda uträkning du gör, eller också ta ett par steg i taget - här vacklar du mellan de båda valen, så det blir lite otydligt.
Mitt förslag:
Det betyder inte att mitt sätt är Det Enda Rätta Sättet, utan det som just jag tycker är lagom.
Smaragdalena skrev:Din lösning skulle bli ännu tydligare med ett led till på den andra raden som börjar med k = , så att man ser att k = a/(-a-1). På nästa rad gör du två saker samtidigt - sätter in att k = 2 och multiplicerar båda sidor med -a-1, det gör det lite otydligt. Antingen bör du skriva ut varenda uträkning du gör, eller också ta ett par steg i taget - här vacklar du mellan de båda valen, så det blir lite otydligt.
Mitt förslag:
Det betyder inte att mitt sätt är Det Enda Rätta Sättet, utan det som just jag tycker är lagom.
Ja men det där var ju tydligare, då förstår jag. Tack för tipset!