Hur beräknar man diffrential ekvationer med integrerande faktor?

Hur löses dessa genom den aktuella metoden, ska jga tänka kedje regeln fast baklänges??
Tänk produktregeln baklänges.
naytte skrev:Tänk produktregeln baklänges.
Det är svårt, skulle du kunna visa om det finns någon generell formel, men är integrereande faktor produktregeln baklänges?
Det gör det, men frågan är om du kan använda den, dvs. lösa integralen som uppstår.
Generellt kan man säga att lösningen till en ekvation kommer vara på formen
Så den integrerande faktorn är alltid .
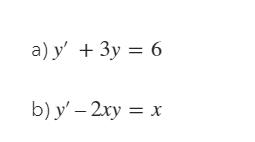
Hej!
y' + 3y = 6
y = dy/dx
3 = p(x)
6 = q(x)
steg 1. I och med att uppgiften löses med IF - faktor:
IF: e^(∫p(x)) = I(x)
steg 2. När du fått din I (x) använder du formeln:
1. I(x) *(dy/dx + p(x) =q(x)) -->
2. d/dx ( I(x)*y) (denna blir vänstra delen av svaret på 1.)
steg 3. När du har satt in värdena i ovan formel får du ska du integrera båda sidor.
skriv hur långt du kommit så kan jag förklara de ytterligare stegen
naytte skrev:Det gör det, men frågan är om du kan använda den, dvs. lösa integralen som uppstår.
Generellt kan man säga att lösningen till en ekvation kommer vara på formen
Så den integrerande faktorn är alltid .
Ett annat sätt att uttrycka detta är följande:
En linjär diffekv av första ordningen:
har lösningen:
där F är en primitiv funktion till f.
Härledningen till formeln använder produktregeln baklänges, kan du se hur om jag ger dig första steget?
Första steget är att multiplicera alla termer i:
med
eF(x) där F är en primitiv funktion till f.