Hur blir detta fel?
Hej! Jag hade tänkt lösa en ekvation men fattar inte varför det blir fel:
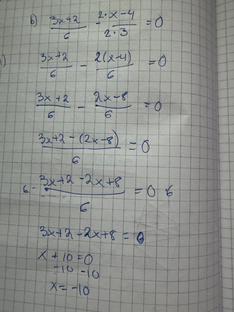
jag är ganska säker på att det har blivit fel där jag sätter en parantes runt (2x-8) men borde man inte göra det eftersom att det är ett minus framför?
jag försöker bara följa reglerna för hur man löser en ekvation och det känns ju mest logiskt att göra på detta sättet.
eller är det snarare att man inte ska ha en parantes där eftersom att man bara förenklar VL?
är rätt. Det är också helt rätt att sätta ut paranteser så som du har gjort!
När du löser en ekvation med nämnare är det lite enklare att multiplicera båda leden med MGN.
Då blir du genast av med alla nämnare och det blir mindre att skriva.
I stället för att först göra liknämnigt och sätta på gemensamt bråkstreck.
Nu inser jag vad som blev fel! Jag kollade på ekvationen i boken och i mitt häfte 4 ggr innan jag vände mig hit och då hittade jag ingen skillnad (det var därför jag skapade denna tråd). Men nu efter att du svarade insåg jag att det borde stå x+4 istället för x-4 i täljaren på andra termen i VL.
Louis skrev:När du löser en ekvation med nämnare är det lite enklare att multiplicera båda leden med MGN.
Då blir du genast av med alla nämnare och det blir mindre att skriva.
I stället för att först göra liknämnigt och sätta på gemensamt bråkstreck.
Ja jag brukar egentligen göra som du skrev, men just den här gången gjorde jag det med ett gemensamt bråkstreck för att spara tid haha
Lätt hänt!
Jag skulle bara vilja påpeka en sak. Du skriver att du bara "försöker följa reglerna för hur man löser en ekvation". Jag vill betona att det inte finns några regler, utan man får göra precis vad man vill i en ekvation, så länge man gör samma sak på andra sidan av likhetstecknet.
Ofta reduceras matematiken av såväl elever som lärare till någon konstig grej där man hela tiden ska tillämpa förbestämda "metoder". Det gör att man tappar förståelse (såväl lärare som elever) för vad som faktiskt händer.
Ja, du har helt rätt. Inget jag har insett förrän nu. Jag har alltid tänkt att det är just det man ska göra, tillämpa förbestämda "metoder" på olika problem bara för att det liksom är det man blir lärd. Men samtidigt låter det ju helt logiskt att det inte riktigt finns några "regler". Annars kan det nästan kännas som att man blir lite låst i att hela tiden tillämpa samma metod på alla problem och om sedan den enstaka metoden inte funkar vet man inte riktigt vad man ska göra för att lösa det.
Ja, precis! Och det är det som är det stora problemet med den svenska matematikundervisningen, om man frågar mig. Man lär sig inte så mycket egentligen, utan man lär sig bara apa efter.
Ja, jag tänkte faktist på det häromdagen. Varje avsnitt i matteboken, tex om pythagoras sats handlar om att bra räkna ut hypotenusan, men om man sedan kollar på lite svårare uppgifter vet man inte riktigt hur man ska lösa den för att man inte har en tydligt rätvinklig triangel framför sig, utan där du liksom ska se att det kan ritas ut en triangel på vissa ställen för att räkna ut något. (ska skicka en exempeluppgift på en sådan fråga). Om man då bara lärt sig räkna ut hypotenusan eller en katet så blir det hur svårt som helst att veta hur man ska lösa det hela. Helt orimligt enligt mig.
naytte skrev:Ja, precis! Och det är det som är det stora problemet med den svenska matematikundervisningen, om man frågar mig. Man lär sig inte så mycket egentligen, utan man lär sig bara apa efter.
Absolut. Även om jag dels kan förstå varför det blir så är det rätt synd. Oftast verkar undervisningen vara att man lär sig ett nytt koncept, nya formler, men uppgifterna är essentiellt samma och man brukar ofta bara hänvisa till formelbladen. "receptet" på hur man löser de flesta uppgifterna finns där.

Här är den jag tänkte på. Första stegen är ju enkla, att räkna ut AC men att med hjälp av den sträckan räkna ut BE kändes helt omöjligt i början tills jag fick lära mig att liksom rita ut trianglar runtom på ett visst sätt.
Absolut. Även om jag dels kan förstå varför det blir så är det rätt synd. Oftast verkar undervisningen vara att man lär sig ett nytt koncept, nya formler, men uppgifterna är essentiellt samma och man brukar ofta bara hänvisa till formelbladen. "receptet" på hur man löser de flesta uppgifterna finns där.
Jag tror detta är ett symptom på ett större problem i den svenska skolan. Istället för att se till att alla når upp till en viss nivå så sänker man ribban så att vem som helst kan klara av det utan större ansträngning. Jag pratade med en väninna från Tyskland (som arbetar inom läraryrket) för några månader sedan och då kom vi in på just det här. Hon menade att hon upplevde precis detta, att nivån kontinuerligt har sjunkit sedan hennes tid i skolan och under hennes tid som lärarinna.
naytte skrev:Absolut. Även om jag dels kan förstå varför det blir så är det rätt synd. Oftast verkar undervisningen vara att man lär sig ett nytt koncept, nya formler, men uppgifterna är essentiellt samma och man brukar ofta bara hänvisa till formelbladen. "receptet" på hur man löser de flesta uppgifterna finns där.
Jag tror detta är ett symptom på ett större problem i den svenska skolan. Istället för att se till att alla når upp till en viss nivå så sänker man ribban så att vem som helst kan klara av det utan större ansträngning. Jag pratade med en väninna från Tyskland (som arbetar inom läraryrket) för några månader sedan och då kom vi in på just det här. Hon menade att hon upplevde precis detta, att nivån kontinuerligt har sjunkit sedan hennes tid i skolan och under hennes tid som lärarinna.
Jag tror det är så också, vilket är synd. Det gör elever en björntjänst.
ja, Jag håller verkligen med er båda. En sak man borde lära sig med matten är ju problemlösning och att använda sig av olika metoder för att lösa olika problem. Men det känns inte riktigt som att man har blivit bättre på det sedan sjuan. Inte för att jag inte har utvecklats, jag har ju höjt mig, men snarare att man hela tiden, för varje problem måste använda samma eller liknande metoder för att lösa dem. annars blir det "för svårt"
Det känns som att man borde vara på en högre nivå av logiskt tänkande och inte vara tvungen att gå inom ramverket för allt, utan att istället göra sådana uppgifter som den jag skickade för att på något vis bryta sig ur det hela. Speciellt när man jobbar med algebra kan jag uppleva att man bara sitter och gör uppgifterna nästan på autopilot för att man just har lärt sig "recepten" och bara gör samma sak om och om igen. Man anväder inte riktigt hjärnan om man ska säga så.
Är inte uppgiften du la ut från din mattebok?
Jo då, men det är inte på de sidorna som man måste göra, utan på de svårare sidorna i slutet på kapitlet.
Jag vill gissa att din poäng är att om det finns i matteboken är det fortfarande något vi lär oss, självklart bara en gissning :)
Men saken är den att det liksom finns kanske 5 sådana uppgifter i ett helt kapitel där man måste tänka om när man löser uppgiften.
Jag var nyfiken på hur mycket er lärare går igenom den typen av problem, t ex hur man ritar hjälplinjer. Eller om boken har exempel med lösningar. Eller om det finns lösning i facit. Annars blir det förstås en hög tröskel. (En tröskel är det hur som helst när man ska gå från att följa regler till att själv se problemet och vad man ska ta fram ur verktygslådan. T ex att man inte behöver beräkna AC :) )
Det finns inga exempel med lösningar i boken eller i facit tyvärr, tror bara det finns på gymnasiet (om ens då). I vissa fall finns det ledtrådar, men det är sällan man förstår varför man ska göra på ett visst sätt utifrån ledtråden. Till denna uppgift sa ledtråden "förläng sida AB 2cm neråt. Vilket man kanske hade kunnat gissa sig till bara genom att kolla på bilden, men man förstår ju inte den matematiska lösningen till varför man ska göra så. Efter det blir det ju lite lättare men i vissa fall ger inte ledtråden något alls. Någon gång kan det stå "döp sidorna till x, y och z".
Det är ganska sällan läraren går igenom sådana svåra uppgifter. Utöver genomgångarna sker det kanske någon gång i veckan att det tas upp en exempeluppgift på tavlan, det kan ofta vara en fråga många elever har frågat efter. Men de är sällan på över C nivå.
Anledningen till det tror jag är för att genomgångar av frågor på A-nivå gynnar färre elever än de lite enklare frågorna. För då kanske fler (öven de som har svårare för matte) har något de kan ta med sig från genomgången).
Så som svar på din fråga: För sånna svårare uppgifter får man bara be om hjälp om man inte förstår och så får man en liten mini-genomgång där läraren löser uppgifter tsms med en så man själv kan tänka ovh komma med förslag på lösning under tiden (inte alltid man kommer på något dock hehe)
KlmJan skrev:Speciellt när man jobbar med algebra kan jag uppleva att man bara sitter och gör uppgifterna nästan på autopilot för att man just har lärt sig "recepten" och bara gör samma sak om och om igen. Man anväder inte riktigt hjärnan om man ska säga så.
Det är så jag har känt de flesta åren i skolans matteundervisning. Jag har funnit det kul att studera matematik på egen hand och särskilt hitta på egna matteproblem till mig själv. Oftast går det snabbt att hitta på något och det kan hålla mig igång med samma problem i flera dagar!