Hur löser man potensekvationer?
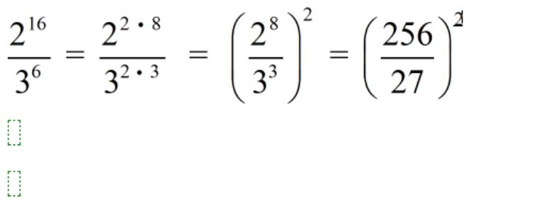
(2^16)/(3^6)
Jag vet att när man delar potenser med varandra så tar man exponenterna minus varandra men detta gäller väll inte när baserna inte är samma eller? Jag vet inte hur jag ska fortsätta lösa det här när man inteckna ha miniräknare
Hej,
Här kan det vara smart att försöka skriva om baserna till samma sak.
Kan du komma på en gemensam produkt hos både 2 och 3 när dessa upphöjs till något tal?
Jag tänker att man kan göra om det till 6 men blir talet då istället 6^16/6^6 eller hur funkar det?
Nej det var inte så jag menade, även om det var ett gott försök. Du får inte ändra basen hur som helst.
Jag märker att det jag tänkte på inte fungerar, räknade inte igenom när jag först svarade.
Du får nog räkna ut den helt.
Själv kan jag inte komma på någon metod som är enkel. Det finns ingen gemensam exponent som man kan skriva de till och dividera.
Man kan skriva det hundra tals sätt.
Men att för enkla går genom

4lice01550n skrev:(2^16)/(3^6)
Kan du ladda upp en bild på uppgiften?