Hur löser man sådana gränsvärden?
Jag har fastnat på följande gränsvärde:
Det här ser väldigt problematiskt ut, då täljare och nämnare inte delar några faktorer. 7 och 3 är båda primtal, och i nämnaren finns det endast tvåor. Det jag har konstaterat är att funktionen kommer ge ett negativt värde för alla n>0. En idé jag har är att titta på täljare och nämnare separat och se vilken som växer eller minskar snabbast, dvs. blir 2-4n mindre snabbare än vad 7n+2-3n växer. Det kanske kan vara användbart på något sätt?
Titta också på vilken term som växer snabbast, 7n+2 eller 3n.
Minns du lösningsmetodiken vi föreslog när du hade rationella uttryck? Det funkar även här.
Bryt ut det som dominerar i täljaren och nämnaren och låt .
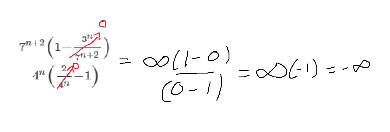
Menar du så här?:
Om det vad det du menade vet jag inte hur man ska ta sig vidare härifrån. På uppgifterna med rationella uttryck kunde jag alltid förkorta bort termen jag bröt ut, men här fungerar inte det.
Tillägg: 11 nov 2022 19:18
Och dessutom får man två bråk på insidan som är odefinierade, inte sant? Både 3n och 7n+2 exempelvis går mot oändligheten, och oändlighet/oändlighet är ju inte definierat.
växer extremt mycket snabbare än , så detta kommer gå mot
Är det samma resonemang på termen ? Alltså att 7n+2 växer snabbare än 3n, vilket gör att hela termen går mot 0?
Precis. 
Ah, vad smart att titta på vad som växer snabbast! Jag visste inte att man kunde göra så, men när jag tänker efter på hur grafen skulle se ut är det ju logiskt. Tack så mycket!