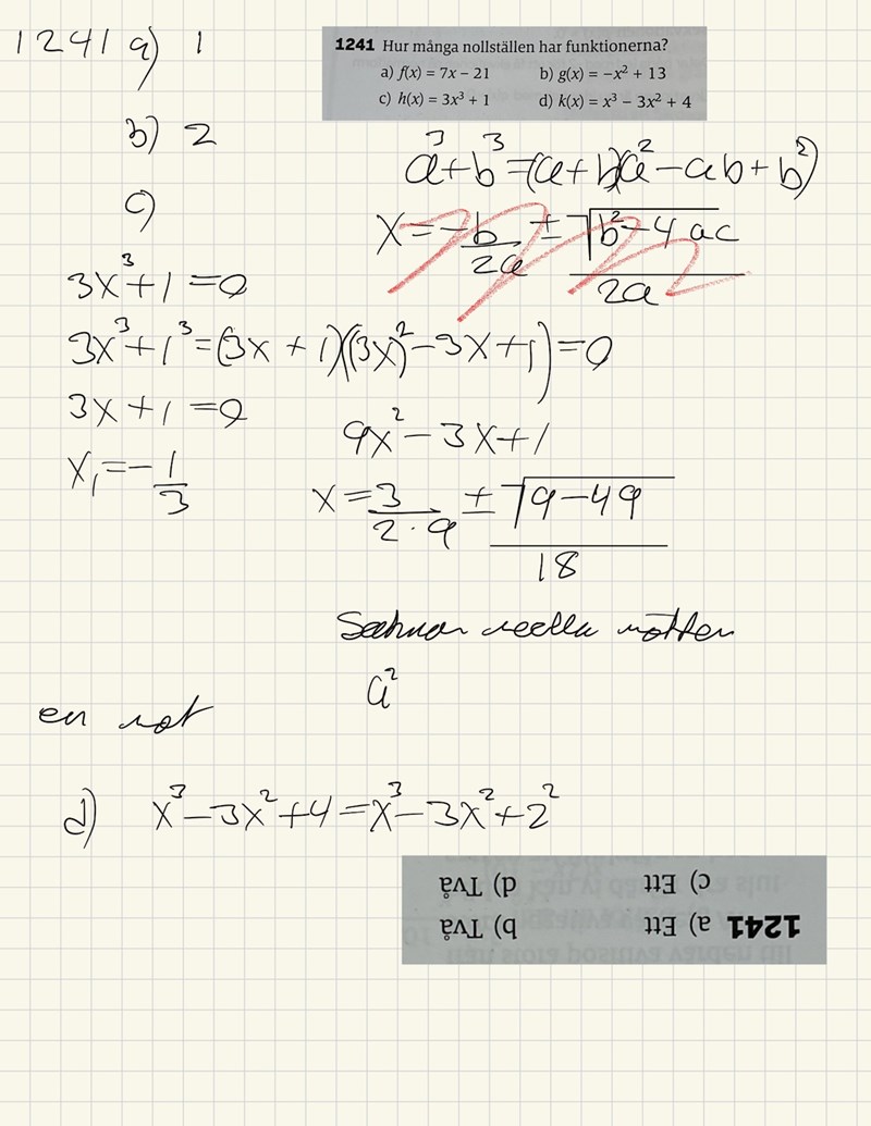
Hur många nollställen har funktionen x^3-3x^2+4?
Hej.
lyckades lösa samtliga förutom ”d”. Hittar inte ett bra sätt att lösa uttrycket algebraiskt. Det kanske är menat att lösas grafiskt? Kapitlet heter förvisso ”grafen till en polynomfunktion” med exempel i Geogebra vid introduktionen men har ni någon idé?

mvh
Det finns faktiskt en sats som säger att om en funktion har heltalskoefficienter och en reell rot så kommer denna rot att vara en faktor i funktionens konstanta term. Med denna sats kan man väldigt lätt gissa rötter till 3:e gradare och högre.
I ditt fall var vi den konstanta termen +4. Faktorerna är och där jag snabbt ser att är en rot. Denna rot kan du använda för att skapa faktorn som du kan dividera ditt polynom med. Därefter får du en andragradare som du kan lösa som vanligt.
Generellt är det ett bra tips, även om man saknar heltalskoefficienter, att gissa sig fram till rötter.
MrPotatohead skrev:Det finns faktiskt en sats som säger att om en funktion har heltalskoefficienter och en reell rot så kommer denna rot att vara en faktor i funktionens konstanta term. Med denna sats kan man väldigt lätt gissa rötter till 3:e gradare och högre.
I ditt fall var vi den konstanta termen +4. Faktorerna är och där jag snabbt ser att är en rot. Denna rot kan du använda för att skapa faktorn som du kan dividera ditt polynom med. Därefter får du en andragradare som du kan lösa som vanligt.
Kom direkt att tänka på denna:
precis det jag behövde. Tack!
naytte skrev:Generellt är det ett bra tips, även om man saknar heltalskoefficienter, att gissa sig fram till rötter.
Tredjegradspolynom har jag arbetat praktiskt med i knappt två veckor så brottas fortfarande med att visualisera och förstå det. Men jag kan tänka mig att det blir lättare med tiden.
Visualisering av tredjegradspolynom är generellt ganska krångligt eftersom det inte är helt uppenbart vad alla termer gör. Om du tycker det är kul ska du givetvis fortsätta, men jag tror inte att visualisering är något man behöver egentligen. Jag tror inte jag kan visualisera något godtyckligt tredjegradspolynom heller.
naytte skrev:Visualisering av tredjegradspolynom är generellt ganska krångligt eftersom det inte är helt uppenbart vad alla termer gör. Om du tycker det är kul ska du givetvis fortsätta, men jag tror inte att visualisering är något man behöver egentligen. Jag tror inte jag kan visualisera något godtyckligt tredjegradspolynom heller.
Ok! Bra att veta. Tack för alla svar. Uppskattas.
MrPotatohead skrev:Det finns faktiskt en sats som säger att om en funktion har heltalskoefficienter och en reell rot så kommer denna rot att vara en faktor i funktionens konstanta term. Med denna sats kan man väldigt lätt gissa rötter till 3:e gradare och högre.
I ditt fall var vi den konstanta termen +4. Faktorerna är och där jag snabbt ser att är en rot. Denna rot kan du använda för att skapa faktorn som du kan dividera ditt polynom med. Därefter får du en andragradare som du kan lösa som vanligt.
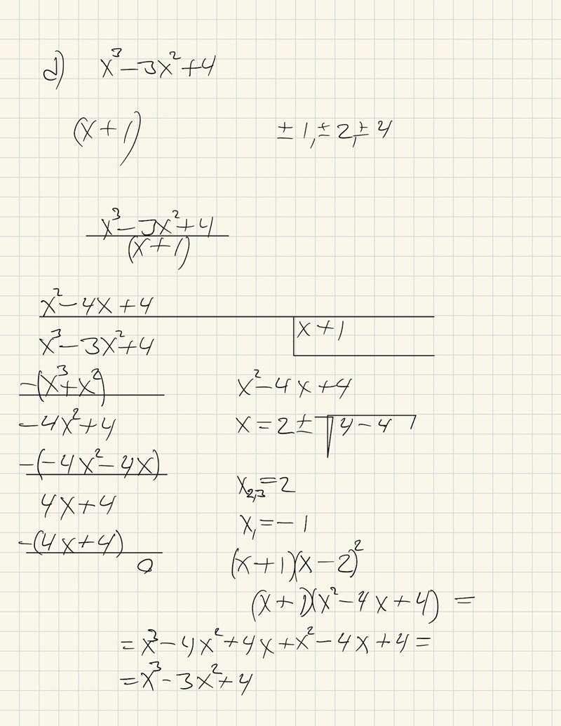
En grej bara. Hur dividerar jag polynomet med med (x+1)?
Det finns olika algoritmer för detta, och det kallas för polynomdivision.
naytte skrev:Det finns olika algoritmer för detta, och det kallas för polynomdivision.
Aah:) min lärare sa att jag skulle vänta med det förra veckan tills jag kommer vidare på en högre nivå. :)
Men jag kikar på det lite försiktigt.
Alltid kul att tjuvräkna i förväg lite :)
maratmatorkin skrev:En grej bara. Hur dividerar jag polynomet med med (x+1)?
I väntan på att du lär dig polynomdivision kan du göra så här
(x+1)(x^2+Ax+B)= x^3-3x^2+4
Multiplicera ihop vänsterledet och bestäm sen A och B
naytte skrev:Alltid kul att tjuvräkna i förväg lite :)
😁

Ture skrev:maratmatorkin skrev:En grej bara. Hur dividerar jag polynomet med med (x+1)?
I väntan på att du lär dig polynomdivision kan du göra så här
(x+1)(x^2+Ax+B)= x^3-3x^2+4
Multiplicera ihop högerledet och bestäm sen A och B
Intressant! Lägger in detta tips i mina anteckningar. Måste dock ta ett break för idag så gott jag kan.:)
Identifiera koefficienter är generellt en mer användbar teknik, sett till andra områden också, exempelvis lösning av komplexa ekvationer eller i fysiken. Men man borde klara av att polynomdividera också!😎
MrPotatohead skrev:Identifiera koefficienter är generellt en mer användbar teknik, sett till andra områden också, exempelvis lösning av komplexa ekvationer eller i fysiken. Men man borde klara av att polynomdividera också!😎
Stort tack! Lär mig något nytt varje dag inom matematiken och sedan nyligen klar för Tekniskt basår med goda meriter. Matematik är beroendeframkallande!