2
svar
106
visningar
beepsleep behöver inte mer hjälp
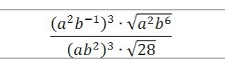
hur tänker man här har int fått grepp på det

ska föränkla så långt som möjligt
hur tänker man när det är roten ur a 2 b 6 
Det finns ett par möjliga steg till:
- 28 = 4*7, då
- Du har a6 i täljaren och a3 i nämnaren
- Du har b1/3 i täljaren, och b6 i nämnaren
- är lite "tricky": ,
beepsleep, du har redan en tråd om denna fråga. Det är inte tillåtet att skapa fler trådar om samma fråga då detta blir rörigt och skapar onödigt dubbelarbete för de som svarar. Det står också i reglerna att ens trådar skall ha en beskrivande rubrik. Jag låser denna tråden så får diskussionen forsätta i din första tråd.