I triangeln ABC
I triangeln ABC är h höjden mot sidan AB. Visa att
h = (c*sinA*sinB)/(sin(A+B))
Jag tänker så här
Sin(A+B)=sin(180-(A+B))
Hur kommer jag sen vidare?
Det är kanske bättre att börja med sin(A+B) = sinAcosB + cosAsinB
Okej hur kommer man sen vidare?
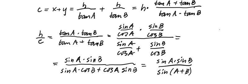
Om du ordnar ekvationen då, du får c = h * (sinAcosB + cosA sinB) / sinAsinB
Ett steg till: c = h * (cosB/sinB + cosA/sinA) => c = h * ctgB + h * ctgA
Och kolla ritningen här: https://www.pluggakuten.se/trad/berakna-hojden-h/
Kan du ta det stegvist istället?
Låt oss försöka uttrycka c i förhållande till h. Då måste vi ordna ekvationen för c.
Stegen:
h = (c*sinA*sinB)/(sin(A+B))
h = (c*sinA*sinB)/(sinAcosB + cosAsinB)
h*(sinAcosB + cosAsinB) = c*sinA*sinB
h*(sinAcosB + cosAsinB)/(sinA*sinB) = c
c = h*(sinAcosB + cosAsinB)/(sinA*sinB)
c = h*sinAcosB/(sinAsinB) + h*cosAsinB/(sinAsinB)
c = h*cosB/sinB + h*cosA/sinA
c = h*ctgB + h*ctgA
Nu kolla på skissen och du ser att x=h*ctgA och y=h*ctgB, och c=x+y
I en del formler ovan verkar vänsterleden vara längder medan högerleden är ytor.
Det är svårt att hänga med. Hur får ni att h=(c*sinA*sinB)/sin(A+B)?
Den var utgångspunkten, eller hur? (Den tes som ska bevisas.)
Är detta verkligen ma3c? Känns svårt att hänga med
Hej! Jag vet att jag är några år sen och att din fråga har redan besvarats, men jag märkte att vissa härledde identiteter som man inte lär sig tills Matte 4 för att lösa problemet, och i och med att detta är ett Matte 3c problem ville jag visa lösningen endast med det man har lärt sig i Matte 3c.
Här är HL: .
Summan av alla vinklarna i en triangel är 180o, alltså: , därmed kan detta lösas för : .
Därmed är sinus av båda sidorna lika där också: . Man kan härleda till enhetscirkeln för att veta att . Därför är
Vi sätter detta in i HL: . Här kan man härleda till sinussatsen för att byta för.
Därmed: (V.S.V).