Igen fråga om lamporna.
Här kommer min andra fråga om lamporna. Mitt första svar var att A lyser starkast eftersom det finns ingen lampa alltså motstånd före den och den är den lättaste vägen för strömmen. Min resonemang visade sig vara helt fel. Skulle någon ge tips på hur jag bör tänka här?
Ja, före och efter har ingen betydelse. De två lamporna B och C som kommer efter har precis samma inverkan som om de kom före. Den sammanlagda resistansen bestämmer hur stor ström som flyter.
Lampa A är kortsluten, dvs lampan bägge sidor är kopplade till punkter med samma potential. Därför går det ingen ström genom lampa A.
Laguna skrev:Ja, före och efter har ingen betydelse. De två lamporna B och C som kommer efter har precis samma inverkan som om de kom före. Den sammanlagda resistansen bestämmer hur stor ström som flyter.
Jag nämnde för och efter för fler resistorer betyder större motstånd, alltså mindre ström. Stämmer detta inte?
Ture skrev:Lampa A är kortsluten, dvs lampan bägge sidor är kopplade till punkter med samma potential. Därför går det ingen ström genom lampa A.
Jag har svårt att se att dessa punkter har samma potential. Är det för att A är parallellkopplad i kretsen?
Du kan gå från ena sidan av A till den andra utan att träffa på något motstånd, via där det står I2 och I1. Då har den båda sidorna samma potential - A är kortsluten.
Kapi skrev:Laguna skrev:Ja, före och efter har ingen betydelse. De två lamporna B och C som kommer efter har precis samma inverkan som om de kom före. Den sammanlagda resistansen bestämmer hur stor ström som flyter.
Jag nämnde för och efter för fler resistorer betyder större motstånd, alltså mindre ström. Stämmer detta inte?
Du skrev "kommer före" som om det spelade någon roll om resistorerna kommer före eller efter. Det gör det inte.
Den sammanlagda resistansen bestämmer hur stor ström som flyter. Om resistansen är större blir strömmen mindre.
Okej, nu hänger jag med om A. Tack för det!
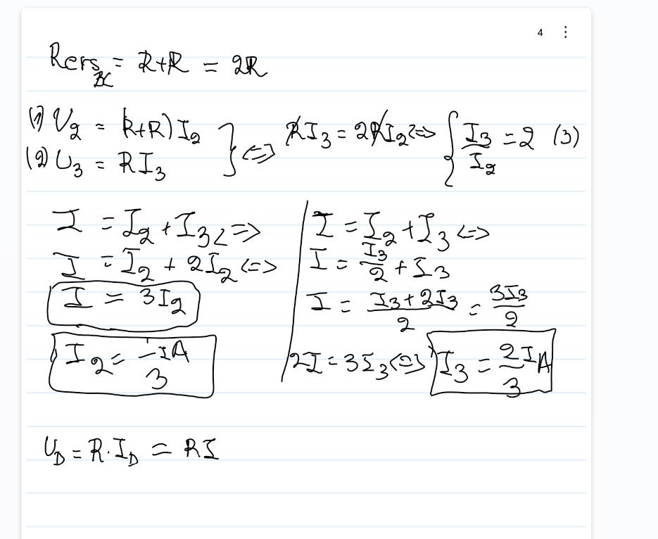
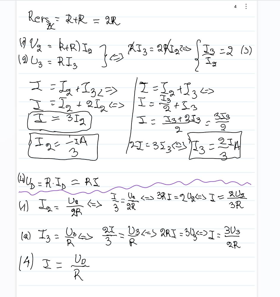
När det gäller B,C och E,kommer strömmen att välja vägen med mindre resistans. E vägen har bara två lampor E och D, i motsats till B,C och D vägen, som består av tre lampor( större resistans). Har jag börjat förstå rätt?
strömmen kommer att fördelas mellan de två vägarna, I2 och I3, beroende på resistansen i de två grenarna. Precis på samma sätt som i din andra tråd,
https://www.pluggakuten.se/trad/hur-ser-man-den-svagaste-starkaste-lampa/
kan man beräkna hur den totala strömmen fördelas med hjälp av strömdelning.
Jag har lyckats med att visar att stömmer ska gå genom E men sedan så fastnar jag vid D. Vet inte hur jag ska inkludera den i mina ekvationer..
Det är inte samma ström överallt där du har skrivit I i figuren. Till höger är strömmen inte lika stor nedanför som ovanför punkten, för att det kommer ström från vänster genom C.
Heureka! (Tror jag) Det enda som förvirrar mig är att 1) borde vara mindre än 2) 
Laguna skrev:Det är inte samma ström överallt där du har skrivit I i figuren. Till höger är strömmen inte lika stor nedanför som ovanför punkten, för att det kommer ström från vänster genom C.
Jaha. Så borde det vara I2 (övanför) och I3 (nedanför) och l bara i D ?
Det nedre I-et till höger är samma som I3. I-et ovanför kan vara kvar, det är strömmen genom lampa D.
I1 vet vi nu att den är noll. (Lampa A kan vi ta bort helt).
I2 går genom B och C.
I3 går genom E
Vad händer sedan i knutpunkten till höger om C? Vad blir I?
Strömmen blir I I knutpunkten och det är den som går genom D. Alltså den 'största' ström.
Kapi skrev:Strömmen blir I I knutpunkten och det är den som går genom D. Alltså den 'största' ström.
Ja, det stämmer.
Och vad blir då ditt svar?
D, vilket stämmer med facit.
Tack så mycket allihopa!! : )