Implicit derivering av två variabler


Hej!
Varför är mitt svar fel?
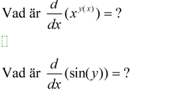
X^y derivering blev lite fel
Sin(y) derivering också.
Test att skriva först

itsLukas skrev:X^y derivering blev lite fel
Sin(y) derivering också.
Test att skriva först
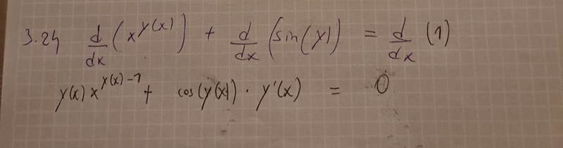
Yes det gjorde jag.
Nu gör du deriveringen på sidan om för varje d/dx

itsLukas skrev:Nu gör du deriveringen på sidan om för varje d/dx

det börjar bli mer rätt :D!
Nu! Om man tar x^y, kan man skriva om den på detta sätt

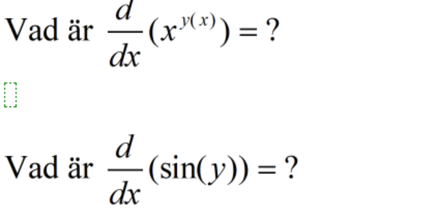
Vad är derivatan till denna utryck? :D
itsLukas skrev:det börjar bli mer rätt :D!
Nu! Om man tar x^y, kan man skriva om den på detta sätt
Vad är derivatan till denna utryck? :D
Hm det hade varit bättre o skriva om det från början kanske istället för mitt i deriveringen? Då kan vi derivera e^yln(x) med avseende på x.
destiny99 skrev:itsLukas skrev:det börjar bli mer rätt :D!
Nu! Om man tar x^y, kan man skriva om den på detta sätt
Vad är derivatan till denna utryck? :D
Hm det hade varit bättre o skriva om det från början kanske istället för mitt i deriveringen?
Sry, jag borde börjad med den först. Mitt fel, men du ser vart vi är påväg :).



