Implicita funktioner
Hej!
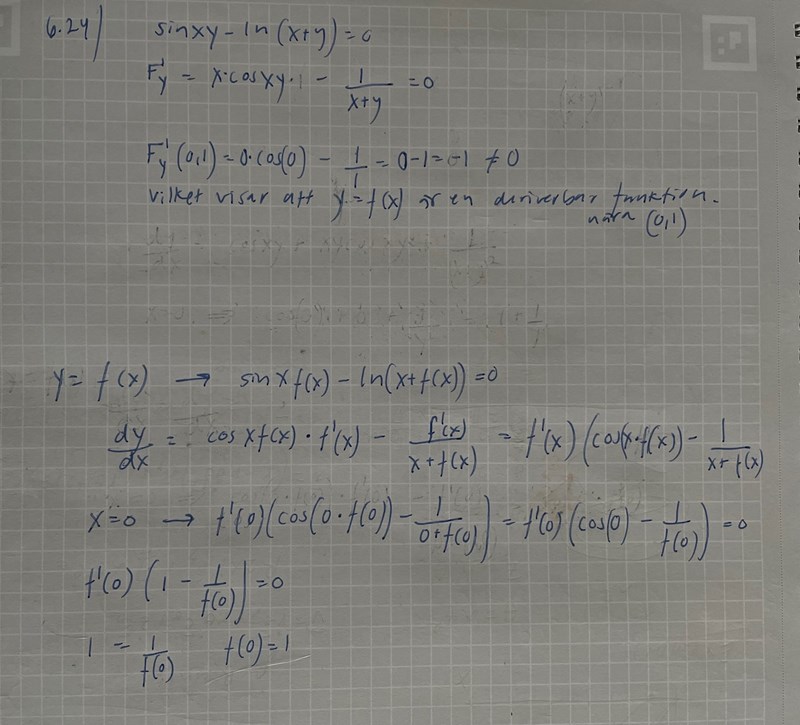
Jag förstår inte riktigt vad jag ska göra på den här uppgiften när de ber mig beräkna då x=0. Jag har satt y=f(x) och sen deriverat med avseende på x, men jag får det till f(0)=1 så jag tänker nog fel någonstans. Tidigare i uppgiften har jag bekräftat att y=f(x) är en deriverbar funktion nära den givna punkten.


Vad är det du ska göra? Var på pappret är vi?
Jag tror implicit function theorem ger dig ett uttryck för derivatan.
naytte skrev:Vad är det du ska göra? Var på pappret är vi?
Jag ska beräkna då x=0. I övre sektionen har jag visat att den givna ekvationen kring punkten (0,1) definierar y som en deriverbar funktion av x, alltså y=f(x).
Nästa steg förstår jag ej helt. Jag ska beräkna då x=0. Här har jag i mina beräkningar (den nedre sektionen) bytt ut y till f(x) och sedan deriverat funktionen med avseende på x. Alltså deriverat funktionen
med avseende på x. Jag fick då:
.
Jag har sedan satt in x=0 i denna funktion och får då
Vilket ger att
.
Gustor skrev:Jag tror implicit function theorem ger dig ett uttryck för derivatan.
Ja, det är det jag räknar på! Men jag har nog missförstått det känns det som.
Nu förstår jag att jag studerar punkten (0,1) och att f(x)=y i denna punktens närhet, så jag ska lösa ut f'(x) istället jag redan vet att då f(0)=1. Så jag får alltså f'(0)(1-1)=0 och har då visat det jag skulle. Är detta korrekt tänkt?
Derivatan y'(0) borde väl ges av -(dF/dx)/(dF/dy)(0,1), där F(x, y) = sin(xy) - ln(x+y)?
Hm det är jag inte helt med på, men så kan det säkert vara. Jag fick i alla fall rätt på det när jag löste ut f’(0). Tack för vägledningen och hjälpen!