1
svar
146
visningar
Plopp99 behöver inte mer hjälp
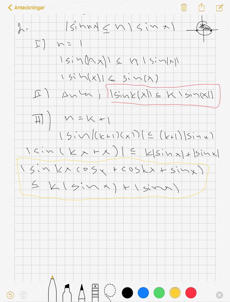
Induktion


Jag ser inte riktigt hur jag ska fortsätta, kanske bli av med absoluttecken, substitutera någon term? Utveckla? Använda någon udda trigonometri regel?
Det ser ut som att du gjort ett misstag där mot slutet. Sista olikheten borde vara .
Annars ser det ut som att du är på god väg. Mitt tips är använd dig av triangelolikheten i vänsterledet. D.v.s. du har att , så om du kan visa att måste också och då är du klar.