4 svar
418 visningar
soobin behöver inte mer hjälp
soobin 368
Postad: 2 maj 2025 20:09

Induktionsbevis

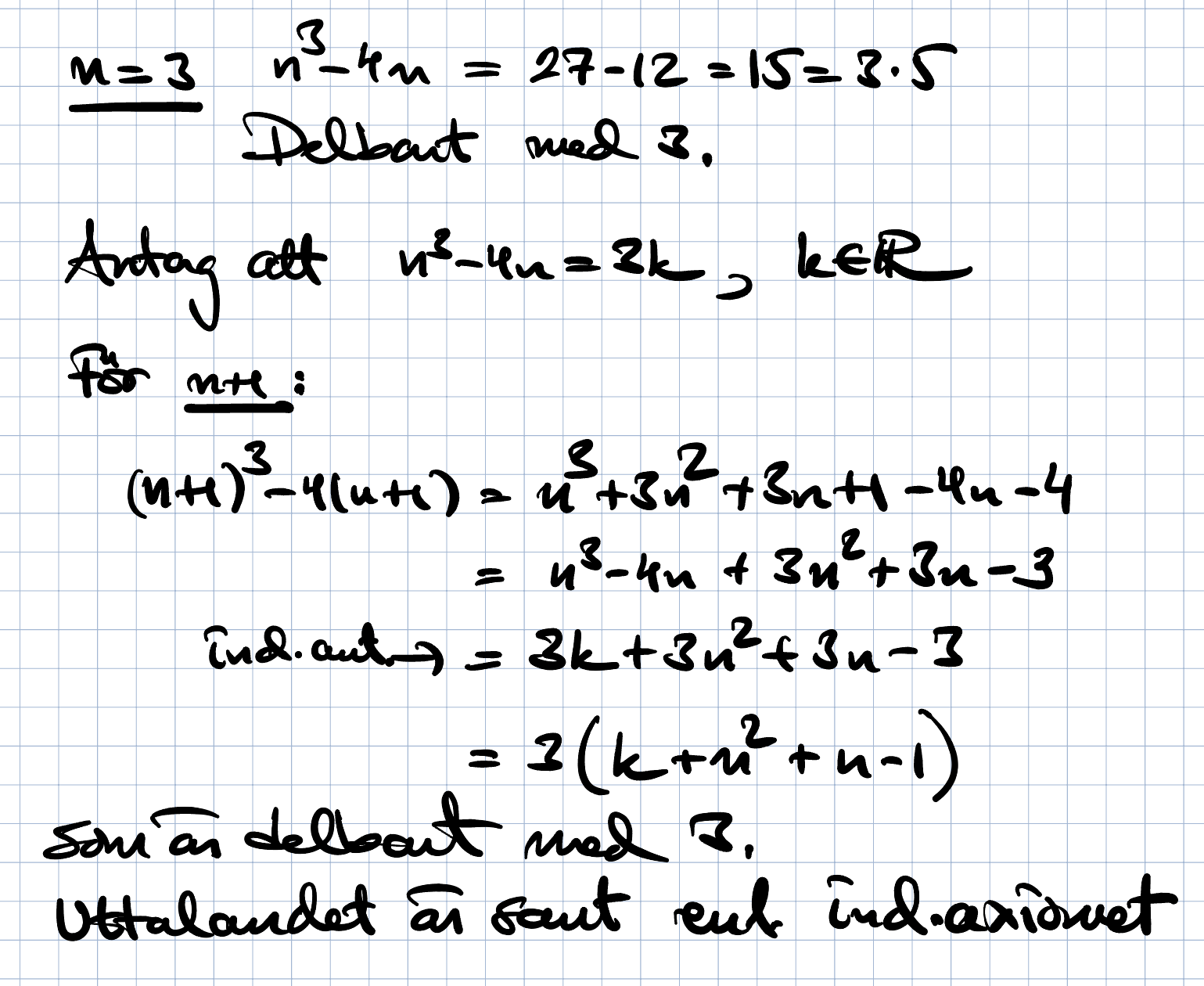
Hej, jag ska bevisa att n^3- 4n är delbart med 3, med ett induktionsbevis

men jag förstår inte riktigt hur det är tänkt att jag ska flika in med hakparanteser och visa att -4p har samma rest som -1p vid division med 3… eller finns det något smidigare sätt att avsluta induktionsbeviset på,

Tacksam för svar! :-)

naytte 8023 – Moderator
Postad: 2 maj 2025 20:22 Redigerad: 2 maj 2025 20:22

4*p är en summa av p fyror. Så 4p har samma rest som 4 mod 3. Samma för 1*p och 1 mod 3.

Är du med?


Tillägg: 2 maj 2025 20:22

Har inte läst igenom ditt bevis men det är ett svar på din fråga.

soobin 368
Postad: 2 maj 2025 20:25
naytte skrev:

4*p är en summa av p fyror. Så 4p har samma rest som 4 mod 3. Samma för 1*p och 1 mod 3.

Är du med?


Tillägg: 2 maj 2025 20:22

Har inte läst igenom ditt bevis men det är ett svar på din fråga.

Yess tack för svaret! och hur gör jag det på ett snyggt sätt redovisningsvis… så att man inte förlorar kommunikationspoäng… ska jag skriva det liksom mitt i allt, med modolusymboler o så vidare,

Gustor 856
Postad: 2 maj 2025 20:32 Redigerad: 2 maj 2025 21:35

Det är viktigt att det är tydligt var du använder induktionsantagandet.

Till exempel: "p3-p=(p3-4p)+3pp^3 - p = (p^3 - 4p) + 3p, där p3-4p3p^3-4p\mid 3 enligt induktionsantagandet (och 3p3p är en multipel av 33). Alltså måste p3-p3p^3-p\mid 3."

Det är också inte så snyggt att skriva

(p+1)3-4p-43(p+1)^3-4p-4\mid 3 på första raden (och fortsatt nedan) eftersom det är delbarhet med 3 du försöker bevisa. Det är i princip som att börja med sista raden i ett bevis--vi har inte kommit dit än!

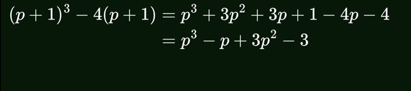
Jag rekommenderar istället att bara jobba med uttrycket, t.ex.

Du kan sedan skriva och motivera varför samtliga termer är delbara med 3 och precisera när du använder induktionsantagandet. 

Du kan alternativt använda induktionsantagandet direkt på termerna p3p^3 och -4p-4p i första raden i bilden ovan och skippa förenklingen.

Trinity2 4410
Postad: 2 maj 2025 21:44

Svara
Close