Inhomogen PDE - värmeledningsekvationen
Hej!
Jag sitter med uppgiften nedan:

Jag hänger inte riktigt med på hur man ska göra. Jag har försökt dela upp problemet i ett homogent och inhomogent problem genom att ansätta , där är den homogena lösningen, så att vi får:
Men hur ska man hantera rand- och initialvillkoren? Hur ändras dem när vi gör om problemet till "två nya" problem?
Man kan ansätta , där funktionen är vald så att
- , d.v.s.
De första två kraven ser till att man bibehåller homogena randvillkor och det sista kravet ser till att man på så sätt konstruerat en partikulär lösning. Denna ansats kan kännas som önsketänkande lite grann, men den kommer att funka då man får en andraordningens ODE för funktionen vars allmänna lösning har två fria parametrar och vi har två randvillkor.
När man hittat en sådan funktion (och därmed , så kan man ta fram begynnelsevillkoret för , då
.
Tack för förslaget!
Finns det någon ansats eller metod du skulle säga är "standard" för denna typ av problem? Många av problemen i denna kurs är typade och det är meningen att man ska känna igen dem.
Jag är också lite "små-frustrerad" över den här uppgiftstypen, troligen för att det inte täckts på föreläsningarna tillräckligt bra. Så jag skulle nog också behöva hjälp här. Här är iallafall min tankegång:
Man ska inte skriva u(x,t) som en summa av två lösningar. Den enda gången man behöver göra det är när högerledet i PDE:n är tidsoberoende, då vi vill hitta en steady-state. Här är högerledet tidsberoende.
Om vi på något sätt kan uttrycka båda leden i PDE:n som serier, så kan vi jämföra termerna i vardera serie och hitta en relation, vilket kommer leda oss till att lösa en vanlig ODE.
Högerledet är svårt att expandera i en serie eftersom vi isåfall behöver en ortogonalbas för L^2 rummet på intervallet (0,3). Men, enligt Spektralsatsen för SLP, kan vi finna en ortogonalbas för detta L^2 rum genom att sätta högerledet i PDE:n till 0 och variabelseparera:
.
Basen ges av X-lösningarna till denna ekvation. Så vi fokuserar på X.
Lösningarna är, upp till multiplikation med konstanter:
Nu kan vi använda denna bas på två sätt. Dels för att uttrycka vår lösningen u som en superposition:
och dels för att kunna expandera det inhomogena högerledet:
.
Sätter vi nu in våran serielösning u i PDE:n, får vi
.
Vi kan kalla , och sedan använder vi att :
.
Nu är allt i princip färdigt. Vi har, som jag nämnde, bara en ODE kvar att lösa. Den får vi genom att jämföra koefficienterna framför basfunktionerna . Då får vi följande relation:
Antingen kör vi integrerande faktor metoden, eller så kan vi använda Beta handbook och få fram lösningen direkt. Då har vi både X funktionerna och T funktionerna specificerade. Lösningen till hela problemet ges som sagt av superpositionen som definierades längre upp.
Edit: Ändrade några slarvfel.
Metoden som theg0d321 beskriver kan användas för ett ganska allmänt högerled. Du kan också kolla på texten på https://math.ou.edu/~rlandes/pdl5.pdf där man tittar dels på inhomogen PDE (sid 8--11 i texten), dels på inhomogena randvillkor (sid 11--12 i texten).
Har högerledet en speciell utformning, så kan man använda ett liknande knep som jag föreslagit i #2:
- För värmeledningsekvationen , där är en konstant kan man ansätta , där sökes så att randvillkoren förblir homogena och den inhomogena PDE:n är uppfylld. Tanken här är att är lika med modulo en multiplikativ konstant.
- För vågekvationen (och även laplaceekv på en rektangel) kan man också ha eller istället för både i HL och i ansatsen. Tanken här är att är lika med modulo en multiplikativ konstant.
Finns det några fler typer av speciella högerled och tillhörande speciella ansatser? Kanske...
@Thegod,
Högerledet är svårt att expandera i en serie eftersom vi isåfall behöver en ortogonalbas för L^2 rummet på intervallet (0,3). Men, enligt Spektralsatsen för SLP, kan vi finna en ortogonalbas för detta L^2 rum genom att sätta högerledet i PDE:n till 0 och variabelseparera:
När du säger serie, menar du då trigonometrisk Fourierserie?
Ja, det stämmer. En trigonometrisk Fourierserie är en utveckling av en funktion som
(Fourierkoefficienter) * (Basfunktioner)
summerat över alla basfunktioner. Eftersom basfunktionerna som vi tog fram är en ortogonal bas för L2 rummet på (0,3), så kan vi expandera alla funktioner som tillhör detta rum med hjälp av basen. Man kan kontrollera att högerledet i PDE:n tillhör L2 rummet på (0,3) för varje fixt t.
Okej, så själva idén är att vi vill serieutveckla båda led som trigonometriska Fourierserier. För att åstadkomma detta söker vi en bas för . Om vi sätter HL i den översta ekvationen till noll får vi en regulär SLP och med spektralsatsen kan vi hitta en ortogonal bas till genom att lösa denna SLP med variabelseparation?
Om jag har förstått ovanstående rätt har jag några frågor:
- Varför söker vi en bas för just ? Det är ju på detta intervall som lever, men det finns ju en -variabel också. Vad händer med den?
- Vad exakt är det spektralsatsen säger? Varför är det endast -delen som utgör en bas?
- Hur kan randvillkoren ens vara ? Varken noll eller tre ingår väl i intervallet som den översta ekvationen ska lösas på?
Vi är nu lite i gränslandet mellan vad som vi förväntas förstå, och rena konventioner som vi får acceptera. Det första du nämner är helt korrekt och generaliserar det vi gjorde i uppgiften.
Gällande de andra frågorna
- Precis, det är där som x lever. Därför kan vi expandera vilken annan funktion av x som helst som lever i samma L2-rum som basen vi tog fram. Notera att det är funktioner av x som avses, så implicit betraktas t som konstant. Konventionen är att vi löser för X funktionerna först eftersom vi har "nice boundary conditions" i x-variabeln. Dessutom har vi ju en ODE för X av ordning 2. Detta ger upphov till ett Sturm Liouville problem för X, som ju enligt sats genererar basfunktioner X. Vi kan inte göra samma sak för T, dels eftersom vi inte har "nice boundary conditions" för T, dels för att ODE:n för T är av ordning 1 här, så det uppfyller inte definitionen av ett Sturm Liouville problem. Om vi inte kan skapa ett Sturm Liouville problem för T, så har vi ingen enkel metod att hitta en bas i T. Hoppas det ger en god intution.
- Spektralsatsen säger att lösningarna ("egenfunktionerna") till ett Sturm Lioville problem bildar en ortogonal bas för Hilbertrummet i fråga (här L2(0,3)). Eftersom vi enbart har ett Sturm Liouville problem i X, så är det just X-funktionerna som bildar en bas. Satsen säger också andra saker, t.ex. att egenvärdena (lambda-värdena) alltid är reella, och att dessa egenvärden (i absolutbelopp) går mot oändligheten. Notera att vi fick n^2 som faktor i våra egenvärden i exemplet, och det går ju uppenbarligen mot oändligheten.
- PDE:n gäller i alla inre punkter av intervallet, medan randvillkoren gäller i gränspunkterna. Det är standard i sådana här uppgifter. Ska man vara mer specifik behöver man gå in på regularitet (som gör att randvillkor blir väldefinierade och meningsfulla) men det är inte relevant i den här kursen
Tack för snabbt svar!
Jag tror att jag är med på allt du säger, förutom en del av den första punkten. Varför låter oss en bas för serieutveckla funktionen ? innehåller ju två variabler. Varför kan vi anta att är en konstant?
Ytterligare en fråga:
Varför sätter vi in som vi fick från att lösa i vår ursprungsekvation? Den funktion vi har räknat fram är väl endast giltig för vår modifierade ekvation, inte den inhomogena?
Fråga1:
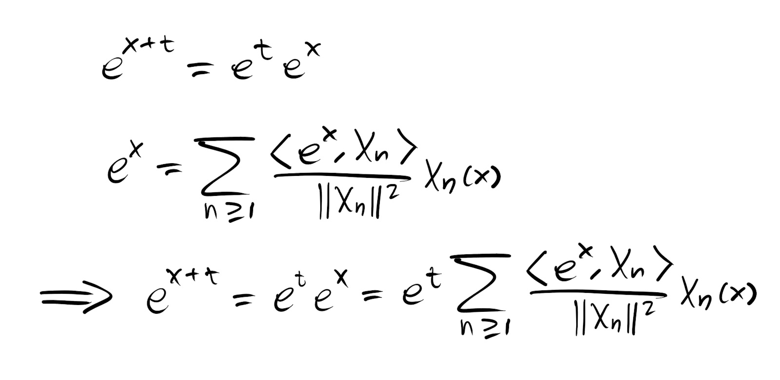
Basen är oberoende av t. Den beror bara på x. Eftersom den är bas för L2(0,3), så kan den användas för att serieutveckla alla funktioner av x som tillhör L2(0,3). Om vi betraktar funktionen exp(x+t) som en funktion i variabeln x, så kan den därmed serieutvecklas, och samtidigt blir ju t bara en konstant på grund av funktionsdeklarationen.
Hade vi istället betraktat exp(x+t) som en funktion i variabeln t hade vi inte kunnat använda basen i x som vi tog fram (denna bas lever i L2-rummet av alla funktioner av x, inte t). Och eftersom vi tidigare konstaterade att vi inte kunde bilda en bas i t-variabeln, så har vi därmed inget sätt att expandera exp(x+t). Så även om det kan kännas rimligt att betrakta exp(x+t) som funktion av t, så kommer det inte ge oss något sätt att serieutveckla.
Fråga2:
Vi har inte modifierat PDE:n som vi startade med. Se denna PDE som en ekvation som vi helt enkelt inte rör från början.
Vi sätter först upp en annan ekvation, nämligen den som du citerar, enbart för att hitta en ortogonal bas för L2(0,3). Efter det är vi helt färdiga med denna ekvation. Vi har alltså inte rört eller manipulerat PDE:n ännu.
Det är först nu som vi faktiskt "rör" PDE:n genom att ansätta u som en superposition av X och T funktioner. Vi sätter in denna superposition i PDEns vänsterled. Vi expanderar också högerledet med hjälp av basen som vi tog fram innan.
Den funktion u som löser PDE:n är alltså fortfarande samma superposition, där vi specificerar vad X och T funktionerna är.
Så som sagt, det är en sak att ta fram en bas för problemet, och en annan sak att lösa själva PDE:n
Jag förstår att vi kan använda en bas för för att serieutveckla alla funktioner av som tillhör . Men vår funktion är ju inte enbart en funktion av , utan också av . Fortsätter den vara en funktion av även då vi har serieutvecklat?
Det är först nu som vi faktiskt "rör" PDE:n genom att ansätta u som en superposition av X och T funktioner. Vi sätter in denna superposition i PDEns vänsterled.
Men de och vi använder för att skapa kommer ju från vår SLP , inte från vår ursprungliga ekvation, så varför kan vi använda dem för att bilda och stoppa in det i vår ursprungliga funktion?
Ja, funktionen fortsätter vara en funktion av t (och x). Vi har bara uttryckt den i en bas i x, och tidsberoendet har flyttats till koefficienterna:
Skalärprodukten ovan är i x, så man kan bryta ut faktorn e^t eftersom den ej beror av x.
Konstanten är i själva verket en talföljd i n.
Den andra frågan försökte jag förklara i inlägget innan. Jag tror det är mer av en logisk övning att inse. Så om vi vänder på frågan: Måste X_n och T_n funktionerna komma från den givna PDE:n? Är det nödvändigt att det måste vara så?
- Det finns inget som säger att X_n funktionerna måste komma från den exakta PDE:n som ges. Så vi är fria att hitta ett sätt att bestämma dessa. Det viktiga är ett de bildar en OB bas. Det enklaste är att lösa motsvarande homogena PDE, eftersom det ger oss ett enkelt Sturm Liouville problem att lösa.
- T funktionerna tas fram genom att använda den exakta PDE:n som ges, eftersom vi sätter in superpositionen i PDE:n och härleder på så sätt en ODE som T funktionerna behöver uppfylla
Ang. serieutvecklingen av : nu är jag med! Jag tänkte inte på att man kan bryta ut . Så det vi egentligen gör är att vi endast serieutvecklar , eller hur?
Ang. hur vi plockar fram ansatsen för : jag måste nog bara fundera på saken ett tag.
Hur som helst tackar jag för den bra hjälpen hittills! :)
Exakt, t är ju konstant med avseende på vår bas i x. Så vi kan i själva verket skriva

Hade vi kunnat göra samma sak om HL inte vore lika "snällt" och kanske istället bestod av en funktion som (så att vi inte kan "separera" och ), eller funkar denna metod endast eftersom HL har en "trevlig" form?
Det kan man ganska lätt verifiera:
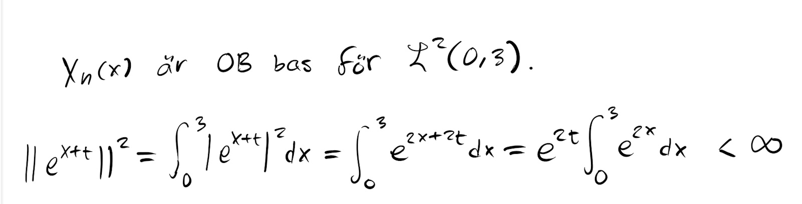
Minns att en funktion tillhör L2(0,3) om dess absolutbelopp i kvadrat integrerar till ett ändligt tal. Detta visar att exp(x+t) tillhör rummet som vi har en bas för. Så vi kan därför expandera exp(x+t) i termer av vår bas.
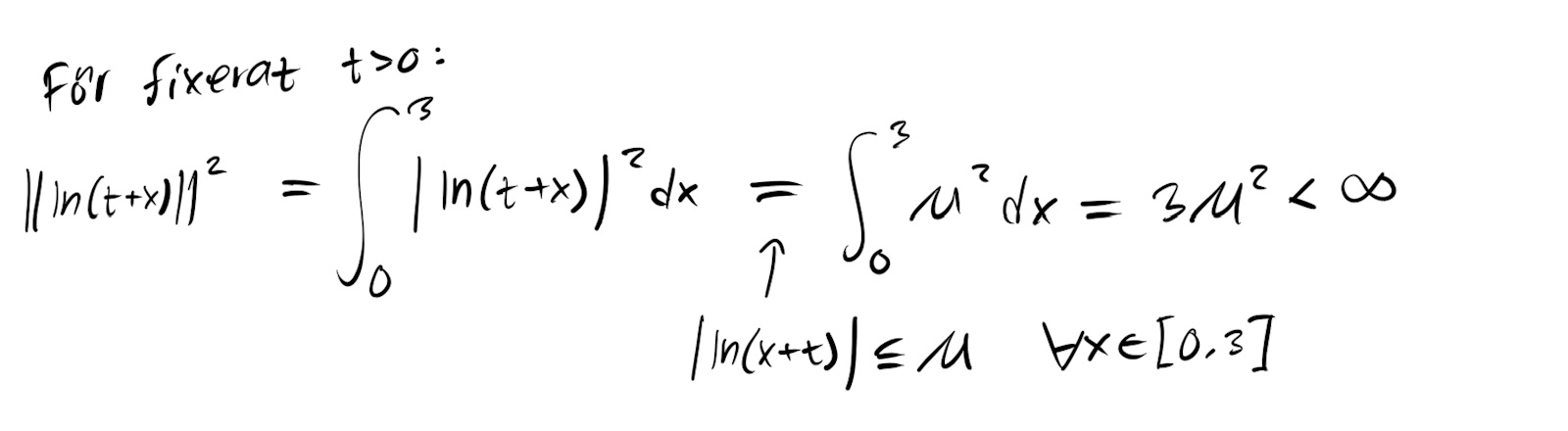
Testa att göra samma sak med ln(x+t); kolla om den tillhör L2(0,3). Om den gör det, så kan den också expanderas i termer av vår bas
🤔
Okej. Så vi utvecklar faktiskt hela funktionen i basen och inte bara ?
Det som orsakar lite huvudvärk är att definitionen av är mängden av alla funktioner vars kvadrater är integrerbara (i Lebesguebemärkelsen). Detta innebär väl att vår definition gäller funktioner med en och endast en oberoende variabel? I så fall kan väl funktionen som defineras av för per definition inte ligga i ?
Jag tänkte tidigare att det som "räddade oss" med var att vi kunde separera ut -beroendet och bara utveckla ena delen, som definitivt ligger i .
Eller tänker man att för varje fixerat i själva verket utvecklar funktionen som definieras av ? Så vi utvecklar inte faktiskt funktionen som definieras av utan utvecklar en funktion som "ser likadan ut" men som egentligen endast har -beroende?
f(x,t) = ln(x+t) är som helhet en tvåvariabelfunktion. Men i själva "Fouriersteget" gör vi inte en utveckling i båda variablerna. För varje fixerat t definierar vi
f(x) = ln(x+t).
Nu är f: (0,3) -> R,
alltså en funktion av en variabel.
Och då frågar vi oss om denna envariabla funktion tillhör L2(0,3)-rummet.
ln(t+x) är kontinuerlig på det kompakta intervallet 0 <=x<= 3, så den är begränsad dvs det finns ett M som begränsar funktionens absolutbelopp. Det är vad man använder för att visa att integralen är ändligt.
Edit: jag såg inte din sista kommentar; ja du tänker rätt.
Är det samma tänk också när vi gör om vår ekvation till en SLP: för varje fixerat är en SLP i variabeln på intervallet .
Är detta korrekt och i så fall också anledningen till att endast -delen av lösningen till SLP:n är relevant för oss? Är det ens egentligen "variabelseparation" vi gör då? (jag frågar eftersom om är fixerat är det ju ingen variabel).
Den homogena PDE:n är inte en SLP; det är fortfarande en PDE. Det betyder att x och t varierar fritt inom sina gränser, vi har alltså inte fixerat t.
Det är först när vi variabelseparerar som vi får en ekvation för X, och en ekvation för T. Det är ekvationen för X som är en SLP (du kan se detta som en "SLP i x"). När vi väl har löst denna SLP så får vi en bas Xn för L2-rummet av alla funktioner av x på intervallet (0,3). Det betyder att vi kan expandera alla funktioner av x som lever i samma L2-rum. Så om vi vill expandera exp(x+t) med avseende på denna bas så måste vi se denna funktion som en funktion av x; därav betraktas t som konstant.
Ah, såklart!
En fråga till: vad hände med randvillkoret ? Såvitt jag använde du aldrig det i din lösning...?
Hej igen!
Jag sitter här och försöker följa lösningen som @theg0d321 föreslog, men jag hänger inte riktigt med. Jag började med:
Då jag löste fram erhöll jag för :
med
Då vi Fourierutvecklar i basen får vi:
Med superposition och instoppning i differentialekvationen får vi alltså:
Då vi jämför koefficienter får vi:
vilket har lösningar (enligt -handbook):
Men nu är ju saken den att jag bara har ett villkor kvar som jag inte har använt (randvillkoret), men två konstanter jag måste bestämma ( och ). Så hur tar man sig vidare härifrån?
naytte skrev:Hej!
Jag sitter med uppgiften nedan:
Jag hänger inte riktigt med på hur man ska göra. Jag har försökt dela upp problemet i ett homogent och inhomogent problem genom att ansätta , där är den homogena lösningen, så att vi får:
Men hur ska man hantera rand- och initialvillkoren? Hur ändras dem när vi gör om problemet till "två nya" problem?
Är den här uppgiften från kursen som heter fysikens matematiska metoder?
Nej, den är från MVE290.
För att bestämma Kn behöver du använda initialvillkoret. Det blir en fourierkoefficient.
Du behöver inte ha med An när du löst ekvationen för Xn, dvs "upp till konstanta multiplar". Den koefficienten kommer nämligen att "absorberas" i fourierkoefficienten senare. I allmänhet kan du alltid svara upp till konstanta multiplar när du löser sådana SLP's
