Inre resistans
Hej! Jag har lite svårt att förstå här om hur de räknar ut den inre resistansen på b), jag tänkte att Ri=e/ik men för att det ska bli 0 ska väl ik vara 0 med det är omöjligt, det står att man ska kolla grafen men jag ser inte hur den sammanhänger med definitionen. Ska man kanske tänka att eftersom u=0 så är e=0, men det kan man väl inte veta med tanke på att vi inte lätt kan förenkla kretsen till höger och e är inte parallell med u pga R1?
Har även problem med g), jag förstår inte hur det går att tänka såhär, hur vet man att e är kortsluten? "Inga beroende källor vilket medför att inre resistansen kan beräknas som: (e är kortsluten och då kortsluts hela K:et)" 

b)
Du skriver: " jag tänkte att Ri=e/ik men för att det ska bli 0 ska väl ik vara 0".
Nej, ik ska vara oändligt.
g)
Du skriver: " hur vet man att e är kortsluten?"
Instruktionen för att beräkna inre resistansen av en Thevenin ekvivalent:
"Den ekvivalenta resistansen Rth är den resistans som kan mätas mellan A och B om alla ideala spänningskällor ersätts med kortslutningar och alla ideala strömkällor ersätts med ledningsbrott"
Men hur ska jag automatiskt veta att den inre resistansen är 0? Jag förstår inte riktigt hur du tänker med den angivna formeln. Den enda som vår bok nämner är denna: Ri=e/ik
g) Jag tror jag är lite förvirrad här också, vi har ju redan att Ri = 0 så hur kan vi plötsligt räkna om den till att ha en resistans och samma med e=200. Och jag har svårt att se det med att kortsluta spänningskällan och hur man ska tänka med alla resistorerna som formar bokstäverna, måste man inte förenkla den sidan för att räkna kortslutningsström och tomgång??
b)
I det här fallet kan du inte räkna med den här formeln. ik kunde du läsa av grafen där grafen skär i axeln. Men den gör det inte. Grafen "skjuter upp" i höjden. Grafen visar en idealisk spänningskälla med noll inre resistans.
g)
Ri = 0 gäller för kretsen till vänster om a och b. (Spänningskälla och Ri).
Men nu vill vi beräkna Thévenin ekvivalenten för "allt till vänster om H" (dvs Spänningskälla + Ri + "K" + "T")
Du har rätt i att du kan lösa denna uppgift på olika sätt.
Om du tittar på exemplet i https://sv.wikipedia.org/wiki/Th%C3%A9venins_teorem ,
- de beräknar tomgångsspänningen
- och den ekvivalenta resistansen.
Om vi inte hade haft grafen, hade det varit samma i b?
Så hur skulle jag göra med t.ex nodanalys?
Om vi inte hade grafen, borde de ha angivit Ri.
Med nodanalys ser man direkt (som facit också säger) at tomgåmgsspänningen är 100V.
Kortslutnigsströmmen är 200V/6R. ("K"-et spelar ingen roll, du kan läsa det av "T"-et.)
Och inre resistansen blir Ri = Utg/Iks = 3R
Men varför är tomgångsspänningen olika i båda fallen?
Menar du på a-b och ingången på "H"-et?
Det finns en spänningsdelare mellan dom: (R+R)/(2R+R+R) =0,5
200V * 0,5 = 100V
Jag är bara väldigt förvirrad varför vi i de andra uppgifterna får andra värden på den inre resistansen och e0, det jag inte ser är hur han får den där Rth för om K är kortslutet kan jag inte se någon parallellkoppling, jag ser att i T så blir det 2000 nere och 1000 uppe men inte mer än så... Hur skulle man kunna lösa uppgiften med en alternativ metod t.ex nodanalys? Det verkar inte funka dock då jag får följande funktioner men fel svar, jag får -0.02 A..: Förlåt för den slarviga bilden!
1. (b-200)/2000 + (b-c)/2000 -b/2000 = 0
2. (b-c)/2000 = (c-d)/3000 + (c-e)/1000
3. (c-d)/3000 = (d-e)/3000 + d/1000
4. (c-e)/1000 + (d-e)/3000 = e/3000
Macilaci skrev:Om vi inte hade grafen, borde de ha angivit Ri.
Med nodanalys ser man direkt (som facit också säger) at tomgåmgsspänningen är 100V.
Kortslutnigsströmmen är 200V/6R. ("K"-et spelar ingen roll, du kan läsa det av "T"-et.)
Och inre resistansen blir Ri = Utg/Iks = 3R
Jag ser inte alls hur du kan tyda att tomgångsspänningen är 100 V, hur är den inte 200? Vi har ju spänningskällan som är 200 och en inre resistans som vi bestämde var 0 innan, även om den var något annat skulle tomgången fortfarande vara 200 ju? Och jag ser inte hur du får 6R till kortslutningsströmmen? Denna delen är vad jag inte kan se framför mig.
Spänningskällan är allt som är till vänster om a-b, inklusive Ri. Det är den som har karakteristik enligt grafen.

Jag har ritat in en linje för en spänningskälla där Ri är större än noll. Lutningen på den linjen är Ri.
Men hur gör ska man tänka på g) då?

Här markerade jag med röd färg allt som ingår i spänningskällan enligt g).
K-et gör ingenting, spänningen efter K-et är fortfarande 200V.
2R vid utgången spelar ingen roll i tomgångsspänningen, efersom då är strömmen noll.
Spänningsdelaren (2R, R + R) bestämmer tomgångsspänningen, vilken är 100V.
Okej så man tänker att spänningen e=200 ska fördela sig lika på 4R från T? som är 100, men med detta tänk så får man inte rätt ik --> vilket inte ger rätt Rth. Hur fick examinatorn Rth till 3R från ingenstans?
Den första ekvationen i #9 är fel. Med dina pilar borde det lyda:
1. (b-200)/2000 + (b-c)/2000 + b/2000 = 0
itter skrev:Okej så man tänker att spänningen e=200 ska fördela sig lika på 4R från T? som är 100, men med detta tänk så får man inte rätt ik --> vilket inte ger rätt Rth. Hur fick examinatorn Rth till 3R från ingenstans?
Inte från ingenstans. Han bestämde Thévenin-ekvivalenten.
Instruktionen för att beräkna inre resistansen av en Thevenin ekvivalent:"Den ekvivalenta resistansen Rth är den resistans som kan mätas mellan A och B om alla ideala spänningskällor ersätts med kortslutningar och alla ideala strömkällor ersätts med ledningsbrott"
A och B betyder i detta fall de röda "+" och "-" punkterna.
Vid beräkningen av Rth måste man ta hänsyn till motståndet (2R) vid "+" utgången.
Macilaci skrev:Den första ekvationen i #9 är fel. Med dina pilar borde det lyda:
1. (b-200)/2000 + (b-c)/2000 + b/2000 = 0
Ger dock fortfarande inte facits svar på 5.3mA.. Var kan det ha gått fel?
Macilaci skrev:itter skrev:Okej så man tänker att spänningen e=200 ska fördela sig lika på 4R från T? som är 100, men med detta tänk så får man inte rätt ik --> vilket inte ger rätt Rth. Hur fick examinatorn Rth till 3R från ingenstans?
Inte från ingenstans. Han bestämde Thévenin-ekvivalenten.
Instruktionen för att beräkna inre resistansen av en Thevenin ekvivalent:"Den ekvivalenta resistansen Rth är den resistans som kan mätas mellan A och B om alla ideala spänningskällor ersätts med kortslutningar och alla ideala strömkällor ersätts med ledningsbrott"
A och B betyder i detta fall de röda "+" och "-" punkterna.
Vid beräkningen av Rth måste man ta hänsyn till motståndet (2R) vid "+" utgången.
Det gjorde allt så mycket mer klarare att A och B är på "nya" platser i kretsen, jag ser det framför mig nu!
itter skrev:Jag är bara väldigt förvirrad varför vi i de andra uppgifterna får andra värden på den inre resistansen och e0, det jag inte ser är hur han får den där Rth för om K är kortslutet kan jag inte se någon parallellkoppling, jag ser att i T så blir det 2000 nere och 1000 uppe men inte mer än så... Hur skulle man kunna lösa uppgiften med en alternativ metod t.ex nodanalys? Det verkar inte funka dock då jag får följande funktioner men fel svar, jag får -0.02 A..: Förlåt för den slarviga bilden!
1. (b-200)/2000 + (b-c)/2000 -b/2000 = 0
2. (b-c)/2000 = (c-d)/3000 + (c-e)/1000
3. (c-d)/3000 = (d-e)/3000 + d/1000
4. (c-e)/1000 + (d-e)/3000 = e/3000
Nodanalys kan man alltid använda. Och dina ekvationer (förutom det lilla teckenfelet i den första) stämmer.
Jag skulle påstå att den här metoden är inte sämre än examinatörens. (Jag tror att han behöver skriva upp 3 ekvationer efter Thevenin-ersättningen, så sparade bara en ekvation och gjorde ett extra steg.)
Men det ger fel svar? Då måste ju något vara fel någonstans?
Svaret jag fick var -4,17 mA. Stämmer det?
Nej tyvärr inte, det facit säger är 5.3mA
Väldigt konstigt. Det verkar vara självklart att i en sådan bryggkrets är strömriktningen negativ (från höger till vänster).
Dessutom, stämmer alla Kirchhoff-ekvationer med mina siffror.
Potentialer på noderna i "H"-et. (med namn från din ritning):
c=37,5V
d=12,5V
e=25V
(och b=79,16V)
Strömmarna:
b-c: 20,83 mA
c-d: 8,33 mA
c-e: 12,5 mA
d-e: -4,17 mA
d-jord: 12,5 mA
e-jord: 8,33 mA
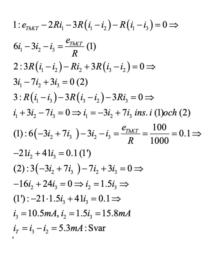
Jo precis det jag fick efter din rättning av teckenfelet! här är fortsättning på facit. 

Redan den första ekvationen är fel. Han räknar med 2R i stället för 3R som han beräknade som Rth.
Med rätt Rth får jag:
i1 = 20,833 mA
i2 = 12,5 mA
i3 = 8,33 mA
iT = -4,17 mA
Kontrollräknade med hans metod och det ger vårat svar. Tack så mycket för hjälpen verkligen att du fick mig att se det!