Integraler
hejsan
jag skulle behöva ha lite vägledning att lösa denna uppgift 
Hej Biorr!
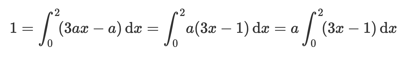
Det första du kan göra är att faktorisera ut a från 3ax - a. För att a är en konstant, så kan du ta den ut från integralen. Efter det måste du beräkna integralen av uttrycket som finns kvar efter konstanten a har tagits ut.
Det blir som en ekvation helt enkelt, och du ska lösa för a.
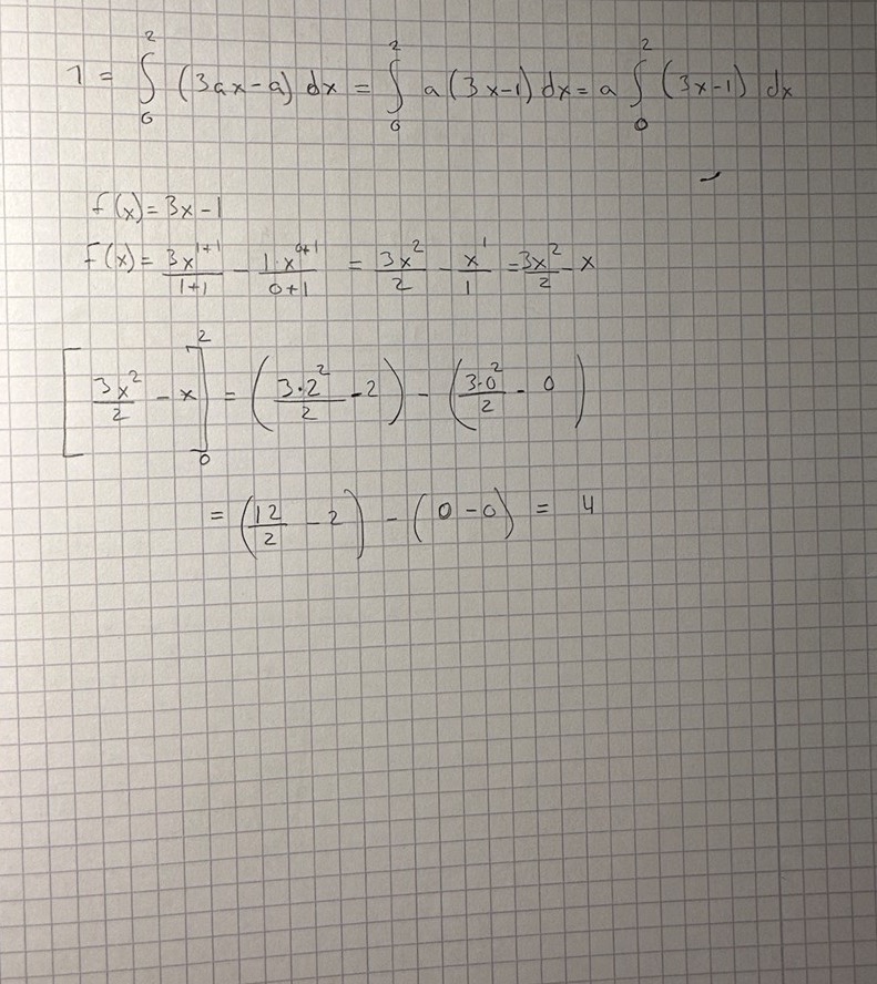
Jag skulle börja med att finna den primitiva funktionen F(x) för f(x)=3ax-a.
sictransit skrev:Jag skulle börja med att finna den primitiva funktionen F(x) för f(x)=3ax-a.
Jag tror det är enklare som shkan säger;

Bra, det är rätt så långt.
Kommer du vidare?
Jag är lite fundersamt kring nästa steg?
Biorr skrev:Jag är lite fundersamt kring nästa steg?

Så a=1/4 => a=0,25
Ja, det stämmer.
