JW-metoden

Jag förstår inte hur jag ska få strömmen och lösningsförslaget vi har fått är helt obegripligt. Hur ska jag ta mig till väga med denna uppgift?
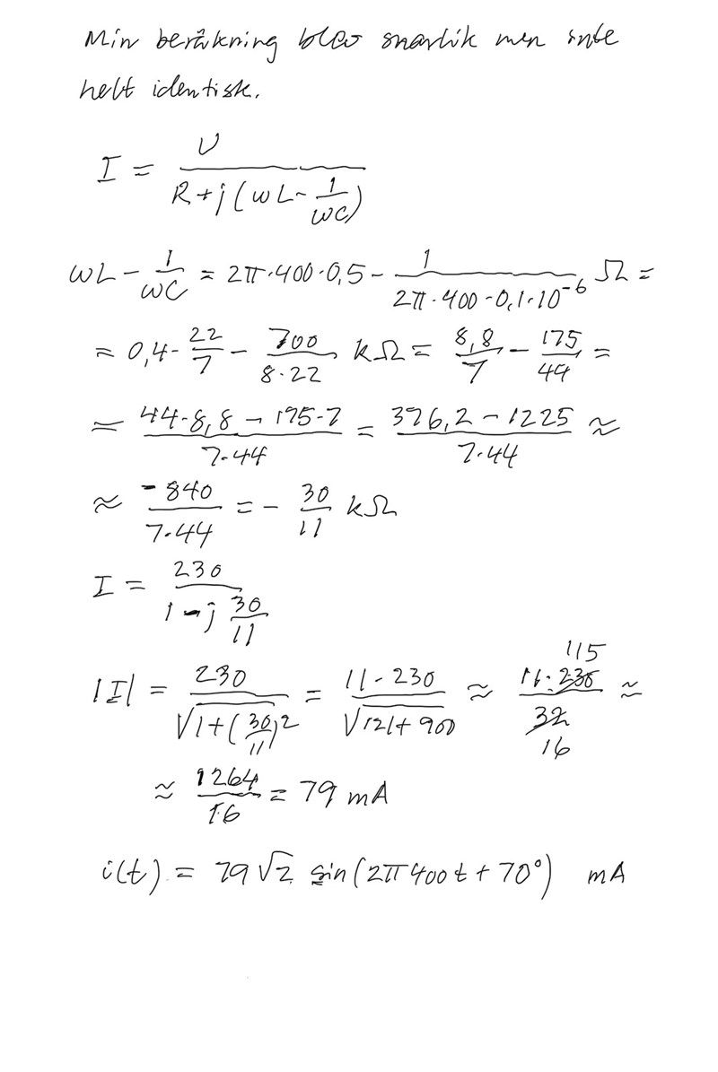
Jag har inte löst sådana här uppgifter på länge, men med hjälp av Jan Ragnars tips och polär form från komplexa tal så har jag försökt.
Det blev lite otydlig figur för vektorerna till ZR ZL och ZC, men jag hoppas att den går att förstå ändå.
En fråga från mig, har jag tänkt och räknat rätt?

ConnyN, du har nog tappat bort ett pi när du räknat ut 1/wC.
ThomasN skrev:ConnyN, du har nog tappat bort ett pi när du räknat ut 1/wC.
Det stämmer bra det ser jag. Tack för att du såg det och påpekade det!
Jan Ragnar skrev:
Tack så mycket!
Ojdå jag hade inte förstått frågan ser jag. De ville inte veta I utan I(t). Där blir det ännu en bekräftelse på den polära formen.
Nu börjar jag att komma ihåg en del från gymnasietiden för 50 år sedan, men jag har för mig att jag inte riktigt förstod sambandet mellan komplexa tal och våra beräkningar. Nu efter att ha läst matte4 nyligen så gick det ganska bra att se sambandet. Jag hoppas att det klarnat för vår trådskapare lurkopurko också?

