Kan man bevisa sin(x)/x -> 1 på detta sätt?
Hej! Idag när jag duschade (lol) tänkte jag på gränsvärdet
och kom på detta resonemang. Jag tror dock det kan finnas något cirkulärt som jag har missat.
Om man utgår ifrån några kända egenskaper hos de trigonometriska funktionerna: additionsformlerna och att sinus når ett maximivärde vid (detta kan man resonera sig fram med enhetscirkeln och då utan behov av derivator) och trig-ettan (och några enkla värden, som att ).
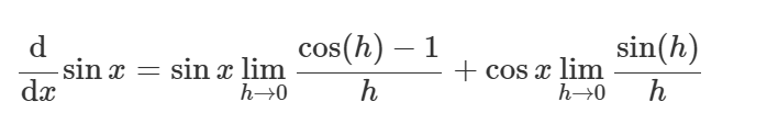
Om vi använder derivatans definition på får vi:
Om vi antar (jag är lat) att de relevanta "del"-gränsvärdena konvergerar så att vi kan dela upp vårt gränsvärde i två:
Om dessa två gränsvärden konvergerar, vilket vi har antagit, så kan vi låta dem vara två reella tal.
Låt
Då har vi att
Vidare, utifrån idén att vi känner till att maximeras vid får vi direkt att om vi insätter detta i derivatan.
Då har vi att
Något liknande resonemang för att lösa ut fungerar inte. För att få fram värdet behövs ett konkret värde på något annat som inkluderar trigonometriska funktioner. Min ide är att om vi känner till att aren på en cirkel med radie 1 är och därmed arean på en kvartscirkel är har vi att
Substitutionen ger då att
Substitutionen ger att
Addera ihop dessa integraler för att få
Alltså följer det att .
Då har vi att
Vilket medför .
Problemet jag ser med mitt resonemang här är att känna till arean på en cirkel. Det enda sättet jag har bevisat det förr är med just samma integral. Då används ju den faktiska derivatan av . Finns det några andra problem som jag har missat? Jag tänker att allt annat som används följer från annat som inte kräver värdet på . Exempelvis egenskaperna hos trig-funktionerna som användes eller att skapar en halvcirkel.
Edit: Jag kom på ett sätt som inte inkluderar arean på en cirkel (så vitt jag vet), men jag tror att jag gått för långt med denna "lösning"... Förmodligen kräver min andra ide värdet på gränsvärdet eller medför det på något sätt. Måste tänka lite mer på det.
Jag har inte läst allt du skrev, men tror det är ett cirkelresonemang inblandat. Du använder derivatan, men när man härleder derivatan av sinus utnyttjar man det gränsvärde du vill bestämma.
Då är det att du inte läst allt. När man bestämmer derivatan får man fram att
Det enda jag utnyttjar (antar) är att dessa gränsvärden konvergerar till två konstanter och . Jag tänker att det bör vara ok. Då får man alltså att 
Och detta är det jag använder som derivatan till sinus. På så sätt använder jag bara att gränsvärdena existerar, inte deras värden.
Ok, sorry. Jag läste bara de första raderna, och tänkte att det var ett standardfel.
AlexMu skrev:Hej! Idag när jag duschade ...
Det ser smidigt ut, men något måste vara lurt. Månsson/Nordbeck 1-dim. analys stödjer sitt bevis på sats 8.5 och den satsen bevisas ej fullt ut ty "Ett strikt bevis av satsen kräver mera arbete, och involverar teori som inte behandlas i denna bok". Jag har f.n.v. ingen annan bok till hands för att se vad de utelämnar i sitt bevis.
Samma bevismetod har toppnotering på S.E.
https://math.stackexchange.com/questions/75130/how-to-prove-that-lim-limits-x-to0-frac-sin-xx-1
Jag har inte lusläst kommentarsfältet för att se om det finns invändningar på detta bevis.
Trinity2 skrev:AlexMu skrev:Hej! Idag när jag duschade ...
Det ser smidigt ut, men något måste vara lurt. Månsson/Nordbeck 1-dim. analys stödjer sitt bevis på sats 8.5 och den satsen bevisas ej fullt ut ty "Ett strikt bevis av satsen kräver mera arbete, och involverar teori som inte behandlas i denna bok". Jag har f.n.v. ingen annan bok till hands för att se vad de utelämnar i sitt bevis.
Samma bevismetod har toppnotering på S.E.
https://math.stackexchange.com/questions/75130/how-to-prove-that-lim-limits-x-to0-frac-sin-xx-1
Jag har inte lusläst kommentarsfältet för att se om det finns invändningar på detta bevis.
Vad säger sats 8.5 i den boken?
Mitt "bevis" förlitar sig på att man vet arean på en kvartscirkel, det är det jag kan tänka är lurt och jag har försökt hitta något runt det. Men jag har inte hittat på något bra än.
När du säger samma bevismetod på MathSE, menar du min idé eller det som fanns i boken du nämnde?
AlexMu skrev:Trinity2 skrev:AlexMu skrev:Hej! Idag när jag duschade ...
Det ser smidigt ut, men något måste vara lurt. Månsson/Nordbeck 1-dim. analys stödjer sitt bevis på sats 8.5 och den satsen bevisas ej fullt ut ty "Ett strikt bevis av satsen kräver mera arbete, och involverar teori som inte behandlas i denna bok". Jag har f.n.v. ingen annan bok till hands för att se vad de utelämnar i sitt bevis.
Samma bevismetod har toppnotering på S.E.
https://math.stackexchange.com/questions/75130/how-to-prove-that-lim-limits-x-to0-frac-sin-xx-1
Jag har inte lusläst kommentarsfältet för att se om det finns invändningar på detta bevis.
Vad säger sats 8.5 i den boken?
Mitt "bevis" förlitar sig på att man vet arean på en kvartscirkel, det är det jag kan tänka är lurt och jag har försökt hitta något runt det. Men jag har inte hittat på något bra än.
När du säger samma bevismetod på MathSE, menar du min idé eller det som fanns i boken du nämnde?
Vad Månsson/Norbeck "hänger upp sig på" är troligen att sin(x)<x<tan(x) vilket är "visuellt uppenbart" men tydligen inte helt matematiskt självklart.
Sats 8.5: För alla x som uppfyller 0<x<π/2 gäller det att sin(x)<x<tan(x).
Det är det som S.E. också använder och möjligtvis finns det någon invändning i kommenarsfältet från någon professor, men jag har inte läst igenom dessa för att veta exakt.

Vad händer här? Jag hänger inte med på hur du drar slutsatsen att ?
naytte skrev:
Vad händer här? Jag hänger inte med på hur du drar slutsatsen att ?
AlexMu resonerar att då sin(x) har max för x=0 är d/dx sin(x)=0 för x=0 och HL är =A för detta x.
Ja okej, nu är jag med. Så eftersom vi vet att sinus har ett maximum vid så vet vi att och då erhålls direkt ... Smart!
Jag har bara skummat beviset hittills men jag tycker det ser bra ut. Jag förstår inte vad som skulle vara cirkulärt. Man kan visserligen inte lösa:
analytiskt utan att använda de trigonometriska funktionerna, men man behöver inte heller lösa integralen analytiskt. Det är trivialt att den ger arean på en fjärdedel av enhetscirkel.
Integralen över ett tvådimensionellt område är bara Lebesguemåttet av området, dvs:
naytte skrev:Jag har bara skummat beviset hittills men jag tycker det ser bra ut. Jag förstår inte vad som skulle vara cirkulärt. Man kan visserligen inte lösa:
analytiskt utan att använda de trigonometriska funktionerna, men man behöver inte heller lösa integralen analytiskt. Det är trivialt att den ger arean på en fjärdedel av enhetscirkel.
Jag såg inte heller något som var cirkulärt när jag tänkte ut det. Dock är det rätt vanligt när jag sett föreslagna härledningar om detta gränsvärde att det finns något cirkulärt. Särskilt eftersom det är ett mycket centralt gränsvärde då derivator av trigonometriska funktioner finns överallt. Kändes inte särskilt otroligt att jag missade något.
