Jag har fastnat på denna uppgift.
Tänker att jag bör börja med s=at^2/2 och få ut en tid för sträckan 15m.
Då får jag att t=1.747..
sen vet jag inte riktigt hur jag ska lösa hur högt den kommer åka eller vad y blir?
provade y=vo sin 20•t-at^2/2 och angav y som 1 (2.5-1.5) och fick vo till 33.46 men det stämmer inte...
svaret ska bli 14 ms
När motorcykeln lämnar rampen kommer den att fortsätta åt höger med samma hastighet som den hade innan, samtidigt som den börjar falla neråt med accelerationen g. För att komma förbi bilen måste motorcykeln ha så stor hastighet åt höger att den hinner 15 meter innan den har fallit mer än 1 meter neråt.
Det du har räknat ut är hur lång tid det skulle ta att falla 15 m neråt.
Okej så då ska jag först räkna ut t för s=1?
Roten av 2•1/9.82=0,45 s
sedan använder jag
y(1)=vo sin 20 • t - gt^2/2
löser ut vo= 14.95
Sedan tar jag bara 14.95•cos 20? För att få v i xled?
är det så man ska räkna? Svaret blir ju rätt då men är osäker om den v räcker ellee om jag behöver ta roten ur Vx+Vy?
Hur definierar du v0? Vilken riktning har den hastigheten?
Vo definierar jag som starthastigheten.. och den har riktning 20 grader? Så tänkte jag...
Det verkar vettigt. Vad är det man frågar om i uppgiften?
Hastigheten som krävs vid kanten för att komma över bilen... antar att jag söker Vy och Vx inte V0y+V0x?
men nu har jag löst tiden det tar för falla 1 meter. (0,45)
Sen löste jag ut V0y genom y=voy•t-gr^2/2? Kan man ha y som 1 då eller ska jag sätta det som 0?
vy kan jag sedan lösa ut genom vy=voy-gt?
Men vet inte hur jag ska lösa ut V0x. Trodde jag kunde ta 15/t (0,45)= 33.33 men det blir ju fel tid då det är för att falla 1 meter?
Du verkar ha problem med läsförståelsen, vilket gör att du inte inser att du är klar. Det man söker är motorcykelns hastighet uppför rampen, d v s .
Kan mycket väl stämma. Men svaret ska bli 14 m/s och det har jag inte fått ut någonstans.
Har fått ett V0y=6.419
och ett V0x=17.63
?
Finns det någon annan som kan hjälpa? Får fortfarande inte svaret till 14 m/s...
Varför tror du att svaret skall bli 14 m/s? Det stämmer inte. Om man kör uppför rampen med den hastigheten har man bara kommit 6 m när man har kommit så långt ner att man kommer att krocka med bilen.
Det står så i facit på studentlitteratur. Men man kan inte se uträkning.
Det måste vara facit till en annan uppgift, alternativt fel i facit.
Jag tror inte det är fel i facit. När du räknar ut tiden är det en sak du glömmer. Det finns en tid när riktningen går uppåt också. Om vi tittar på vad vi har:
det är där vi lämnar rampen och .
den höjden måste vi ha när
Vi har två formler vi kan använda:
I x-led har vi formeln och vi vet att
I y-led har vi formeln och vi vet att
Du kanske inte är van att se i den positionen, men det är bara för att vi har två höjder och ingen är noll.
Vi kan för enkelhetens skull testa facits svar 14 m/s och se resultatet.
1) Om vi först tittar på x-led för att få fram tiden och vi löser ut t.
2) Rörelse i y-led
så vi klarar bilen med en viss marginal. Hur ska vi då kunna räkna ut själva?
Jag återkommer med det om en stund.
Edit: Det får nog bli till kvällen, men vad jag gör är att jag använder de två formler som jag använt ovan. Först löser jag ut t i x-led och stoppar sedan in det i formeln för y-led, men bara i termen där de två tar ut varandra och sin och cos blir tangens. På det viset kan jag lösa ut tiden och sedan är det bara att stoppa in den i formeln för x-led och lösa ut
Tusen tack det skulle uppskattas. Jag visste inte att man kunde räkna y= y0 + v0 sin 20 • t - gt^2/2 ? Jag har provat att ersätta t i y=voy•t-gt^2/2 med 15/ vo cos 20 som blir 15.96/vo och brutit ut ett vO men det stämmer inte sen ändå för mig så tror jag blandar ihop lite för mycket höjder och sträckor...
Conny har rätt. Jag tänkte fel. Hjärnsläpp drabbar även mig ibland.
Jag vet inte om du tänkt på det, men du kan ta bort från den formel jag skrev. Då får du svaret istället och det är hur mycket den fallit från ursprungshöjden, men det blir lättare att hålla reda på siffrorna när vi har två höjder om vi sätter in i formeln och får svaret i den höjd den befinner sig. Jag tror inte att det ingår normalt inte i gymnasiefysiken, men det kan vara bra att ha en aning om det när du stöter på det.
Hur skulle vi kunna lösa detta utan facits hjälp?
1) Vi har formeln för rörelse i x-led
där vi ersatt med vi kan lösa ut t och får
2) Vi har formeln för rörelse i y-led
där vi ersatt med
3) Här ser vi en möjlighet att ersätta t med det vi fick i 1) nämligen men bara i termen
Jag har provat att ersätta t även i sista termen, men då blir formeln för invecklad.
nu får vi och då kan vi skriva
vi flyttar om så att vi får här ser du exempel på att så länge vi har plus och minustermer så flyttar man dem först, i det här fallet till vänster och y till höger. Därefter kan vi flytta 2 till höger sida, men då måste den multipliceras med alla tre termerna alternativt slår man en parantes om dem och sätter 2 framför parantesen.
Jag vet att Smaragdalena inte gillar att vi flyttar så, men jag minns att vår fysiklärare sa när vi läste fysik2 att nu är det dags för er att lära er dessa grundprinciper för flyttning för ni spar tid och misstag på det när ni väl lärt er att se. Så min rekommendation är att träna, men göra på det "rätta" sättet när man känner sig osäker, men träna och träna. Eller som Neil Young en känd musiker säger han tränar aldrig, han spelar och spelar, och vi får väl säga lika vi tränar aldrig, vi räknar och räknar.
OK nu kan vi sätta in siffror och
4) Från formeln för rörelse i x-led kan vi nu lösa ut
Vilket är bra att avrunda uppåt om man vill ha lite marginal och dessutom försvarbart då svaret bör lämnas med två siffrors noggrannhet eftersom alla uppgifter vi fick angavs med två siffror.
Så svaret 14 m/s verkar vara ett bra svar.
Tack till Smaragdalena för din kommentar den värmde och hoppas att du inte stör dig på mitt förslag att flytta termer.
och hoppas att du inte stör dig på mitt förslag att flytta termer.
Det stämmer att jag ganska ofta tjatar om att det inte finns något räknesätt som heter "flytta över" eller "flytta över och byta tecken". Om man har begripit hur balansmetoden för ekvationslösning fungerar, kan man slarvalite och prata om att "flytta över", för det är mycket smidigare än att säga "subtraher/adderaa samma tal på båda sidor". Min käpphäst är att det inte är ett bra sätt att förklara för någon som inte redan begriper, för då blir det bara hokus-pokus. Sak samma med "korsmultiplikation" - om man vet vad man pratar om är det ett smidigt sätt att säga det med få ord, men det är ingen bra metod för att förklara det för någon.
Här kommer ett litet försök att vara lite mer pedagogisk enligt Smaragdalenas tips.
Hur uppfattar du det skblm? Tycker du att det möter dig på rätt nivå? Var ärlig, så hjälper du mig bäst.
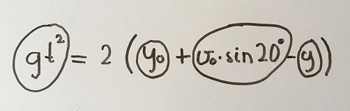
Så här ser jag det. Vi har tre termer på höger sida och vi kan med balansmetoden flytta termen längst till höger genom att addera den till bägge sidor.

Då ser det ut så här:

Nu flyttar vi y till högersida genom att subtrahera y från bägge sidor.
.jpg?width=800&upscale=false)
Då kan vi splittra termen på vänster sida genom att multiplicera bägge sidor med 2, men först nu när vi inte har några plus eller minustermer på vänster sida kan vi göra så.

Sist multiplicerar vi in 2:an i parantesen på höger sida och därefter dividerar vi bägge sidor med g och då får vi:

Nu kommer vi till stället ovan där jag plockar in alla siffror på höger sida.
Hoppas som sagt att det här kan vara till hjälp.
Tusen tack Conny! Tycker mattespråket kan få vara lite fritt i fysik. Läser man fysik bör man ha så pass bra koll på matten att man förstår vad flytta över, stryka, osv egentligen innebär.
Det jag tyckte var svårt att veta med denna uppgift var att vi hade två okända i y= y0 + V0y •t -gt^2/2.
Ersatte t från t=x/vo cos 20 i ENA och löste ut t. Jag hade löst ut v0 där om jag inte visste.
Tack för återkopplingen.
Roligt om du i alla fall tyckte du fick den hjälp du behövde.
