Kedjeregeln
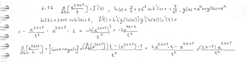
Hej, varför blir det fel när jag försöker använda kedjeregeln?
Matteq skrev:Hej, varför blir det fel när jag försöker använda kedjeregeln?
Här är det lättare att använda kvotregeln. Är du bekant med den?
pepsi1968 skrev:Matteq skrev:Hej, varför blir det fel när jag försöker använda kedjeregeln?
Här är det lättare att använda kvotregeln. Är du bekant med den?
Ja den använde jag i raden längst ner vilket gav rätt svar. Jag försöker bli bekant med att använda kedjeregeln också, speciellt när det är fler än en inre funktion. Den borde väl också gå att använda?
Kedjeregeln och kvotregeln lär man sig inte förrän i Ma4, så du borde inte behöva dem i en Ma3-uppgift. Varifrån kommer uppgiften?
Smaragdalena skrev:Kedjeregeln och kvotregeln lär man sig inte förrän i Ma4, så du borde inte behöva dem i en Ma3-uppgift. Varifrån kommer uppgiften?
Jaha okej, det visste jag inte. Läser basår så försöker ställa frågor inom kurser som jag tror har den mest liknande nivån. Kanske någon moderator kan flytta till Ma4 om det är ett stort problem att det ligger fel?
Tråd flyttad från Ma3 till Ma4 /Jonto,moderator
Matteq skrev:Smaragdalena skrev:Kedjeregeln och kvotregeln lär man sig inte förrän i Ma4, så du borde inte behöva dem i en Ma3-uppgift. Varifrån kommer uppgiften?
Jaha okej, det visste jag inte. Läser basår så försöker ställa frågor inom kurser som jag tror har den mest liknande nivån. Kanske någon moderator kan flytta till Ma4 om det är ett stort problem att det ligger fel?
Ja, det är ett stort problem om vi skall försöka komma på hur man skall kunna derivera "din" funktion med Ma3-kunskaper.
Smaragdalena skrev:Matteq skrev:Smaragdalena skrev:Kedjeregeln och kvotregeln lär man sig inte förrän i Ma4, så du borde inte behöva dem i en Ma3-uppgift. Varifrån kommer uppgiften?
Jaha okej, det visste jag inte. Läser basår så försöker ställa frågor inom kurser som jag tror har den mest liknande nivån. Kanske någon moderator kan flytta till Ma4 om det är ett stort problem att det ligger fel?
Ja, det är ett stort problem om vi skall försöka komma på hur man skall kunna derivera "din" funktion med Ma3-kunskaper.
Okej, jag ber om ursäkt för att jag ställde frågan i fel kurs. Nu när tråden ligger i rätt kurs vet du varför det blir fel när jag använder kedjeregeln? Även fast kvotregeln är enklare att applicera i detta fall borde väl kedjeregeln också gå att använda?
Nej, funktionen är ju en kvot mellan två funktioner (e2t+T respektive t), där man behöver använda kedjeregeln på täljaren. Du kan lika gärna använda produktregeln med funktionerna e2t+T respektive t-1.