Kedjeregeln
Hejsan
Jag skulle behöva ha lite vägledning kring uppgiften.
har skrivit lite på a) och b), vet ej om korrekt


Det du har skrivit ser ganska bra ut. En sak jag skulle vilja påpeka är dock att det inte är helt knasigt att se som ett bråk av två infinitesimaler. Visserligen existerar det inga infinitesimaler bland de reella talen, så rent strikt stämmer det att man inte kan betrakta det som ett bråk, men funkar alltid att tänka så. Det finns inte ett enda undantagsfall. Faktum är att Leibniz tänkte i termer av infinitesimaler när han definierade derivatan och hittade på sin notation. Det är inte en slump att den ser ut som ett bråk, ty i Leibniz värld var det exakt det.
Det finns till och med en hel gren av analysen som kallas för icke-standardanalys där detta ges en ordentlig, logisk grund i hyperreella tal.
Detta har inte med kedjeregeln att göra så biorr kan hoppa över det.
Vi behöver inte tänka oss dy och dx som jättejättesmå tal.
Definitionen av derivata säger att ”delta-y / delta-x går mot dy/dx när delta-x går mot noll”.
Men det innebär inte att delta-x går mot dx. Om derivatan dy/dx är 3 så kan dx = 7 och dy = 21.
delta-y och delta-x är förändringar längs funktionsgrafen. Kvoten ändras när delta-x blir mindre.
dy och dx är förändringar längs tangenten, och kvoten mellan dem är konstant.
Jag minns att jag behövde luktsalt när jag läste detta i Hyltén-Cavallius´ analysbibel på sextitalet, men har förlikat mig vid tanken sedan dess.
Dock blir det krångligt att få ihop när man skriver integralen av f(x)dx. Så det är praktiskt att tänka på dx som det minsta som finns.
Definitionen av derivata säger att ”delta-y / delta-x går mot dy/dx när delta-x går mot noll”.
Men det innebär inte att delta-x går mot dx. Om derivatan dy/dx är 3 så kan dx = 7 och dy = 21.
Jag tänker att du menar:
Jag håller med om att vi inte kan uttala oss direkt om "värdet" på eller . Någon som håller sig till den reella analysen skulle inte ens gå med på att eller betyder något i det här sammanhanget. Men om vi ska tillåta oss själva att göra någon tolkning alls så är väl den enda rimliga att och är infinitesimaler?
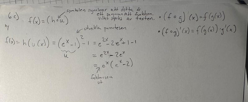
ser detta svar till c) bra ut?
är d) ok?
naytte skrev:Definitionen av derivata säger att ”delta-y / delta-x går mot dy/dx när delta-x går mot noll”.
Men det innebär inte att delta-x går mot dx. Om derivatan dy/dx är 3 så kan dx = 7 och dy = 21.
Jag tänker att du menar:
Jag håller med om att vi inte kan uttala oss direkt om "värdet" på eller . Någon som håller sig till den reella analysen skulle inte ens gå med på att eller betyder något i det här sammanhanget. Men om vi ska tillåta oss själva att göra någon tolkning alls så är väl den enda rimliga att och är infinitesimaler?
Förlåt Biorr, vi stjäl din show här.
naytte, detta är jättelänge sen, men jag tänker så här:
Vi har lärt oss deriveringsreglerna ”flytta ner exponenten, minska med ett, osv”. Vi bryr oss inte mer om ”går mot noll” än den som vrider om tändningen på en bil bryr sig om hur karburatorn funkar.
Så kommer vi till felkalkylen i numeriken. Då skriver vi
dy/dx = f’(x)
som ger
dy = f’(x) dx (1)
(1) gäller Exakt för godtyckligt stora dy och dx.
Vi kan också skriva
delta-y ≈ f’(x) delta-x (2)
som gäller bättre och bättre ju mindre deltorna blir (ja, inte säkert, men i praktiken).
(1) är ju rätt ointressant om vi ser dy och dx som infinitesimaler; då står det att 0 = 0 (ungefär iaf). Men tillåter vi större värden så kan vi göra feluppskattning.
Jag har tyvärr inte kvar mina gamla numerikböcker, det kan vara att jag missuppfattat. Skönt man är anonym här.
@Marylin:
Spännande. Jag förstår vad du menar, men jag håller inte med om att vi kan gå från direkt till . Att multiplicera med kräver ju att vi accepterar att vi kan tillskriva differentialerna numeriska värden. Man kan givetvis säga att:
Men det innebär inte att vi kan säga att och .
I själva verket har vi ju för väldigt små och , som du var inne på, att , för något . Då definierar vi den beroende differentialen enligt , och för att enhetliggöra notationen sätter vi . Så här görs detta åtminstone i en av mina analysböcker.
Detta är ett bra sätt att göra det på, för då får notationen plötsligt en mer intuitiv betydelse.
@Biorr, ska ta en titt om en stund på det du har skrivit! Ursäkta att vi derailade din tråd.
Tillägg: 2 mar 2025 17:29
Jag inser nu att mitt resonemang om hur man definierar dy inte riktigt håller utan infinitesimaler. Jag behöver också luktsalt.
Här är intressant tycker jag. Hyltén Cavallius och Sandgren (1964) s 240f

Spännande utdrag! Ur ett språkligt perspektiv är det också intressant att man skrev lineär.
@Biorr, ditt svar på c) är rätt. Även ditt svar på d).