Kedjeregeln2
Uppgiften är att man ska första, andra och tredje drivatan av y.
Men löste uppgiften genom att använda produktregeln . Men såg i facit de gjorde på ett annat sätt. Varför det får man fel svar om man använder produktregeln här?
Uppgift:
Min lösning:
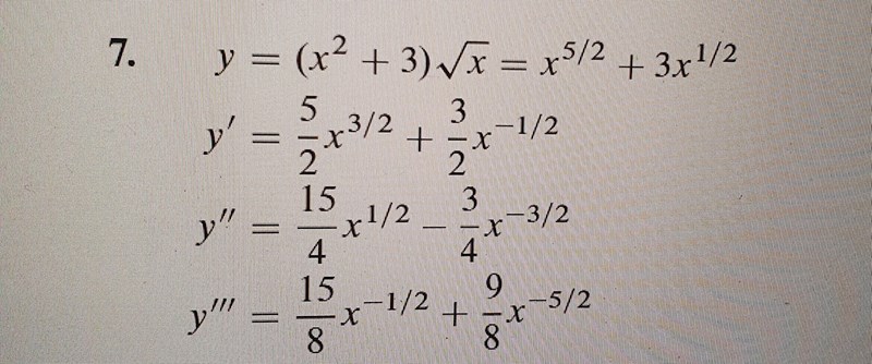
Facit;

Du använder kvotregeln fel när du tar fram andraderivatan.
Om f = g/h så är f' = (g'h-gh')/h2.
Du glömmer nämnaren h2. i din uträkning.
Du får en ganska knölig uppgift om du inte förkortar förstaderivatan som man gjort i facit.
Jag skulle rekommendera att du skriver den så här först:
multiplicerar in i parentesen för att kunna upptäcka att första och andra termen går att slå ihop till en. Då har du kommit till facits lösning av första derivatan och då blir andraderivatan mycket simpel.
För min egen träning så provade jag även din väg.
Vi har två termer. Term1 var lätt
Term2 som var är lite mer komplicerad. Vi kan använda produktregeln där
och
För att derivera u så får vi använda kvotregeln, men v är lätt att derivera.
När vi är klara med den så kan vi lägga ihop term1 och term2. Ganska mycket pyssel och lätt att göra fel, men till slut bir de två andraderivatorna lika varandra och som de visar i facit.
Kvotregeln behövs inte för då
Sant! Jag såg det, men glömde det igen i och med att det blev så många moment innan jag kom i mål. Roligt är det i alla fall det jag lärt mig så här långt. Hoppas att du ”I am me” hinner med att känna det du med, även om du kanske har en mycket större press på dig än vad jag har.