Kinetisk energi
Hej, följande fråga nedan har jag lyckats besvara dock behöver jag hjälp med förståelsen av formeln nedan.
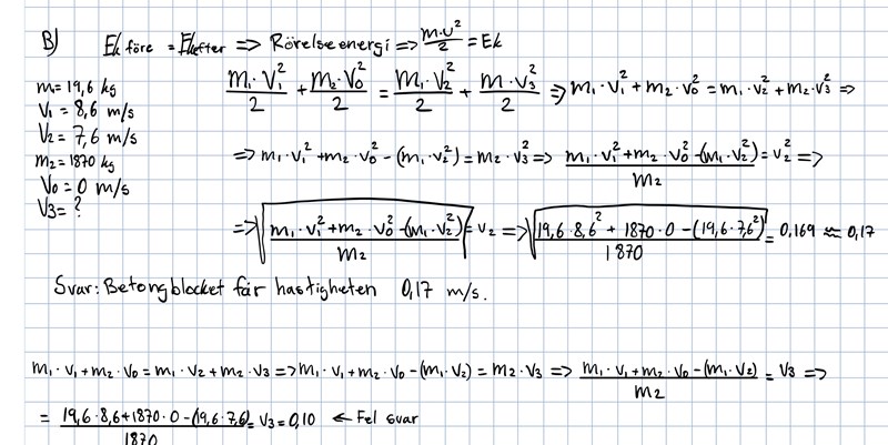
En curlingsten med massan 19.6 kg glider ”friktionsfritt” på isen mot ett
betongblock. Curlingstenen har hastigheten 8.6 m/s. Efter den rätvinkliga
kollisionen med betongblocket får curlingstenen en hastighet på 7.4 m/s
från blocket.
Vilken hastighet får betongblocket efter kollisionen om betongblockets massa är 1870 kg?
Jag började med att ställa upp en ekvation med hjälp av rörelsemängdens formel p=m*v. Detta visade sig vara fel. Jag testade vidare och använde mig av formeln för rörelseenergi Ek=m*v^2/2 som resulterade i rätt svar. I båda fallen bröt jag ut v, bör båda formlerna inte ge ett liknande svar då? Vad är skälet till att jag får rätt svar vid andra försöket. Förstår inte skillnaden på rörelseenergi samt rörelsemängd helt.
tapetklister skrev:Hej, följande fråga nedan har jag lyckats besvara dock behöver jag hjälp med förståelsen av formeln nedan.
En curlingsten med massan 19.6 kg glider ”friktionsfritt” på isen mot ett
betongblock. Curlingstenen har hastigheten 8.6 m/s. Efter den rätvinkliga
kollisionen med betongblocket får curlingstenen en hastighet på 7.4 m/s
från blocket.Vilken hastighet får betongblocket efter kollisionen om betongblockets massa är 1870 kg?
Jag började med att ställa upp en ekvation med hjälp av rörelsemängdens formel p=m*v. Detta visade sig vara fel. Jag testade vidare och använde mig av formeln för rörelseenergi Ek=m*v^2/2 som resulterade i rätt svar. I båda fallen bröt jag ut v, bör båda formlerna inte ge ett liknande svar då? Vad är skälet till att jag får rätt svar vid andra försöket. Förstår inte skillnaden på rörelseenergi samt rörelsemängd helt.
Visa dina uträkningar så kan vi lättare hjälpa dig.
Här kommer en bild på min uträkning, svaret enligt facit är 0,17 m/s
tapetklister skrev:Här kommer en bild på min uträkning, svaret enligt facit är 0,17 m/s
Precis som i din andra tråd om curlingstenen så handlar det om riktning.
Din uträkning med rörelsemängder blir rätt om du bara anger rätt tecken på .
Nu skriver du att m/s men det bör vara m/s.
(Eller -7,4 m/s som det står i ditt första inlägg.)
Så båda fallen blir rätt bara att jag har missat att ta hänsyn till vektorn? Så båda fallen funkar fint att använda sig av?
tapetklister skrev:Så båda fallen blir rätt bara att jag har missat att ta hänsyn till vektorn? Så båda fallen funkar fint att använda sig av?
Ja, men ekvationen med kinetisk energi är i mitt tycke mer komplicerad och dessutom sämre, eftersom du där kvadrerar hastigheterna och därmed tappar informationen om riktning.
Ekvationslösningen ger dig då att och du måste avsluta med att fundera på om det är positiva eller negativa roten som gäller.
Om du istället använder sambandet med rörelsemängder så får du ut rätt tecken på v automatiskt.
Tack så mycket. Nu är jag med.