3
svar
154
visningar
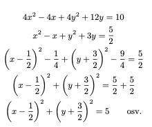
Klurig kvadratkomplettering

Beskriv kurvan geometriskt.
Koefficienterna framför x respektive y inuti kvadrat-parenteserna behöver vara 1, men är 2 fortfarande i ditt fall. Försök att få de till 1 så blir det korrekt.
Du har gjort helt rätt – facit har fel. Har du kollat på rätt uppgift? Det misstaget har jag gjort ett par gånger. :)
Edit: Slarvigt av mig, förlåt.
Nej. Facit har rätt. Följ xXtians anvisning. Koefficient framför kvadratiska termer: alltid 1. I ditt fall måste uttrycket ledvis divideras med 4.
