8 svar
265 visningar
Dualitetsförhållandet behöver inte mer hjälp

Klurigt ekvationssystem

Hur löser jag den här? Jag har försökt med elimineringsmetoden och substitutionsmetoden.

arad1986 126
Postad: 22 apr 2020 12:49

Kunde du visa hur du gjorde i dina försök så att jag kan hjälpa?

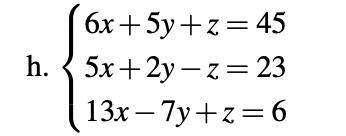
6x+5y+z=455x+2y-z=2313x-7y+z=6Adderar andra ledet till sista6x+5y+z=455x+2y-z=2318x-5y=29Adderar första ledet till andra6x+5y+z=4511x+7y=6818x-5y=29Substituerar x med y i andra ledet och sätter in det i sista ledet6x+5y+z=45x=68+7y1118(68+7y11)-5y=29Leder till ett ganska krånligt ekvationssystem. Antar att jag har gjort något fel då räknare inte ska behövas på den här uppgiften

arad1986 126
Postad: 22 apr 2020 13:16

Hej!

Allt verkar ok tills du räknar ut x genom y, från 11x+7y=68. Din resultat är att x=68+7y11,men

det borde ju vara "-" inte "'+" eller hur?

För att få 11x ensam, du måste göra "-7y" på båda sidorna av "=" tecknet. Dvs 11x=68-7y

Är du med?

Kan du fortsätta nu?

Yngve 42959
Postad: 22 apr 2020 13:16

Teckenfel.

Det ska vara x=68-7y11x=\frac{68-7y}{11}.

Dualitetsförhållandet 1287 – Fd. Medlem
Postad: 22 apr 2020 14:32 Redigerad: 22 apr 2020 14:33

Ok, fastnar fortfarande på att y=225/(11 x 17). Riktigt jobbig uppgift

Löste den, tack för hjälpen. Kan vi alla hålla med om att den här uppgiften var misärig?

Yngve 42959
Postad: 22 apr 2020 16:12

Det blir lättare att lösa om du fortsätter med additionsmetoden:

E1+E2 ger E4: 11x + 7y = 68

E2+E3 ger E5: 18x - 5y = 29

Multiplicera nu E4 med 5 och E5 med 7:

5*E4: 55x + 35y = 340

7*E5: 126x - 35y = 203

Ta nu 5*E4 + 7*E5 och du får 181x = 543.

Smart du är Yngve, nu känns det mycket lättare. Tack!

Svara
Close