4
svar
138
visningar
Kluring – Rotekvation
Kanske inte extremt klurig, men den påminner lite om rotekvationerna från äldre Studentexamen (som ofta var rel. kluriga). Denna är tagen från "Nätet". Exakt ursprung är dock oklart.

Visa spoiler
Öhhh.... kvadrera, flytta över, kvadrera, flytta över, kvadrera...? Ungefär så mycket orkar min hjärna med just nu.
Uppgiften är förmodligen tillrättalagd för tricks.
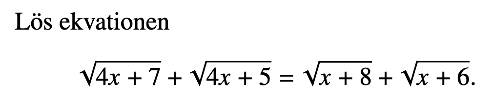
Och det man ska lösa är
MaKe skrev:Uppgiften är förmodligen tillrättalagd för tricks.
Och det man ska lösa är
Detta är en snygg lösning.
MaKe skrev:Uppgiften är förmodligen tillrättalagd för tricks.
Och det man ska lösa är
Fräsch lösning!