Kollision och energi
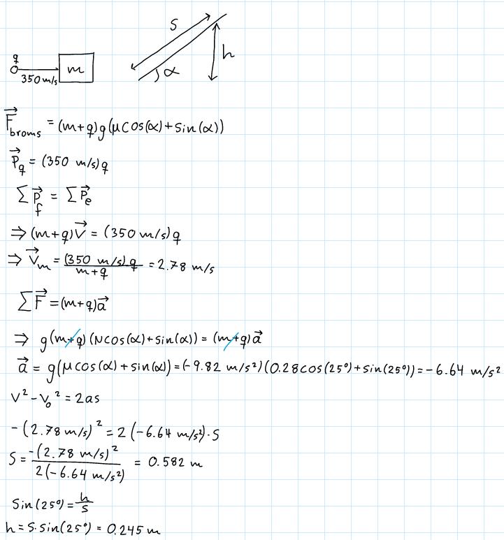
För frågan:” En kloss av trä väger 2,5 kg och ligger på ett horisontellt underlag utan friktion. En kula som väger 20 g skjuts med hastigheten 350 m/s in i klossen och fastnar, så att klossen börja glida. Rörelsen avstannar då klossen glider upp på ett lutande plan med lutningen 25°.Friktionstalet mellan det lutande planet och klossen är 0,28. Bestäm höjden h, den nivå klossen når innan den stannar.” hittade jag lösningen nedan, stämmer den eller finns det ett enklare sätt att lösa uppgiften på?
Den verkar stämma och jag skulle också göra så.
Jag förstår inte riktigt lösningen, skulle du kunna förklara stegvis?
Inte precis just nu, men jag kan ge dig en annan lösning som använder krafter, ifall du tycker det är enklare:
Förklaring på lösningen du bifogade:
På grund av rörelsemängdens bevarande, det vill säga denna lag: , kan man räkna ut vilken hastighet blocket+kulan kommer ha efter stöten:
Sedan räknar de ut vilken rörelseenergi som blocket+kulan har precis när de börjar röra sig. Då blocket inte rör sig längre kommer Ek= 0. Rörelseenergin kommer ha omvandlats delvis till lägesenergi (Ep) men också försvunnit i form av friktionsvärme (enligt ).
Tack så mycket för förklaringen. Jag har en fråga till kring detta:
Var kommer 9,72 ifrån när h räknas ut i sista steget?
Det saknas dumt nog enhet men det är 9.72 J och kommer från klossens rörelseenergi direkt efter stöten.
Tillägg: 10 apr 2023 00:02
Det är uppskrivet på ett väldigt dåligt sätt i lösningen men det som han räknar ut är: