Kommer inte vidare med ett gränsvärde
Hej!
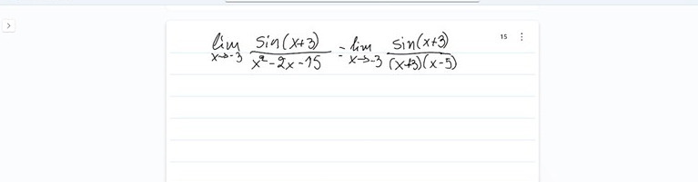
Här kommer en fråga om ett gränsvärde. Jag kommer inte vidare eftersom x går inte mot 0, och därför använda standardgränsvärde. Skulle uppskatta något tips.
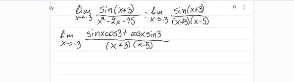
Kanske kan skriva om täljaren med additionsformeln?
ja men jag ser ingen nytta av göra det..
Vad sägs om att substituera in a i stället för x+3? Då kommer a gå mot 0...
Jaa. Jag glömde bort det.Tack!!
Är detta ett ma4 tal? Wolfram-alpha tillämpar l'Hopitales regel eller serieutveckling. Universitetsnivå. Jag kan i alla fall inte hitta någon enklare lösning.
Ja,det är det men det är en ännu snabbare och 'säkrare' väg med l' hospital. Tack!!
Jag hittade ett annat sätt: skriv det som lim x->-3 (1/(x-5)*lim x->-3 (sin(x+3)/(x+3)) sätt x+3=a (enligt#4)
=> -1/8*lim a->0 (sina/a) = -1/8 eftersom sin(a)/a =1; a->0
Jag tror att jag föredra l'hospital men det är bra att lägga på minnet det sättet ocskå. Tack Tack!