6
svar
171
visningar
komplex andragradsekvation
Behöver hjälp att lösa denna uppgift:
g(z) = z2 + (1+i)z +(6+3i)
Lös g(z) = 0
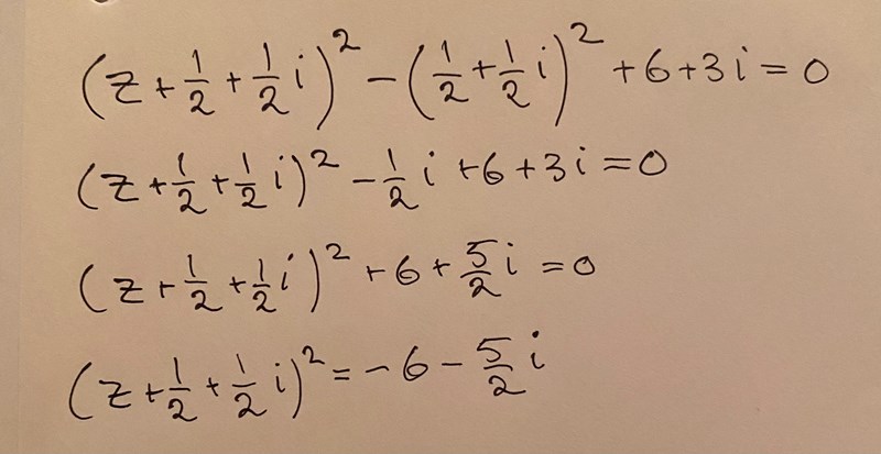
Har kvadrat-kompletterat VL och har kommit fram till en hjälpekvation:
Hjälpekvationen = ,
När jag ska lösa detta ekvationssystemet blir det något fel, hur hade ni gjort?
Hur fick du -1/2 - 3i?
här ser du allt jag kommit fram till
Din hjälpekvation är fel. Det är -i/2, inte -1/2.
Man tar bara imaginärdelen in till ekvationen. Det står egentligen -1i/2 och im delen är då bara -1/2
Visa spoiler
Skriv ditt dolda innehåll här

Då kommer din hjälpekvation bli 13/2.
ahaaa, tack så jättemycket för svar!