7 svar
202 visningar
sunshine21 behöver inte mer hjälp
sunshine21 6 – Fd. Medlem
Postad: 11 aug 2021 18:06 Redigerad: 11 aug 2021 20:24

Tal

Jag tror att sanna är  B,C,D och E.Vad är rätt svar?

beerger 962
Postad: 11 aug 2021 18:08

Ladda upp en bild på uppgiften, eller skriv den tydligare tack!

Jonto 9330 – F.d. Moderator
Postad: 11 aug 2021 18:59

Varför tror du att de är sanna?

Har du gjort några uträkningar? Vad har de gett? Exempelvis att börja förenkla något av leden eller att göra operationer på båda sidor av ekvationerna.

sunshine21 6 – Fd. Medlem
Postad: 11 aug 2021 19:06 Redigerad: 11 aug 2021 19:08

B har använt kvädreringregler och fått samma svar

C konjugatreglen : (x-y)(x+y)/(x+y)(x-y) =1 , Sant

D (5+(x-y))(5+(x-y))/(5+(x-y))= 5+x-y, använt konjugatreglen

E kvadreringsreglen

så här har jag tänkt men fortfarande visar att det är fel. har fastnad här.

Jonto 9330 – F.d. Moderator
Postad: 11 aug 2021 19:16 Redigerad: 11 aug 2021 19:17

Jag tycker du har tänkt rätt på alla utom på D.

Jag tror också att jag kan ana feltänket.

 

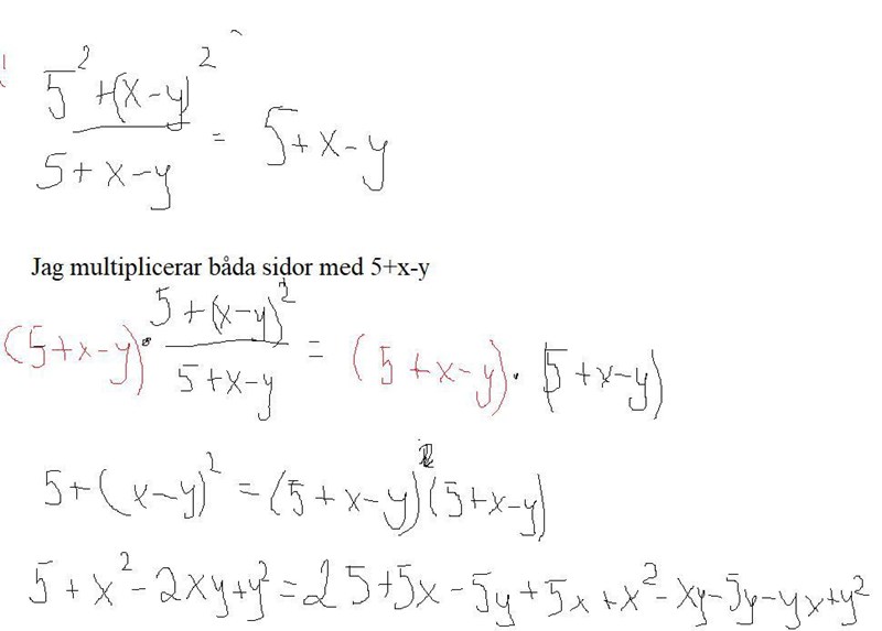
52+(x-y)2är inte samma sak som (5+(x-y))2

Det kan verka så men så fungerar ju inte kvadreringsreglerna utan det kommer uppstå många fler termer i det senare alternativet.

 

Jag skulle ha löst det så här:

Då ser man att det inte är samma termer på båda sidor

sunshine21 6 – Fd. Medlem
Postad: 11 aug 2021 19:20

Det var verkligen en knepig del men nu förstår jag. Tack så mycket för din hjälp.

Jonto 9330 – F.d. Moderator
Postad: 11 aug 2021 19:22

Ingen orsak

Fermatrix 7621 – Fd. Medlem
Postad: 11 aug 2021 20:24 Redigerad: 11 aug 2021 20:32

Sumshine21, det är inte tillåtet ha ha fler trådar om samma fråga. Som du ser blir det onödigt mycket arbete för de som svarar. Håll dig till en tråd per fråga. Du verkar ha grönmarkerat båda trådarna så för att inte skapa yttilgare förvirring så låser jag denna.

Sedan skall din rubrik beskriva trådens innehåll, 'tal' kan handla om precis vad som helst och är alltså inte en speciellt bra rubrik. Om du är osäker på vad en bra rubrik är så kan du läsa tråden "vad är en bra rubrik". 

Du skall också lägga frågan på rätt nivå, här har du lagt den som matte 5 och i din andra tråd matte 1. Det underlättar för de som svarar om man vet vilken nivå du läser matte på, det skiljer mycket i vad man har för kunskap bland matte 1 och matte 5.

/Moderator

Tråden är låst för fler inlägg

Close