kvadreringsregeln
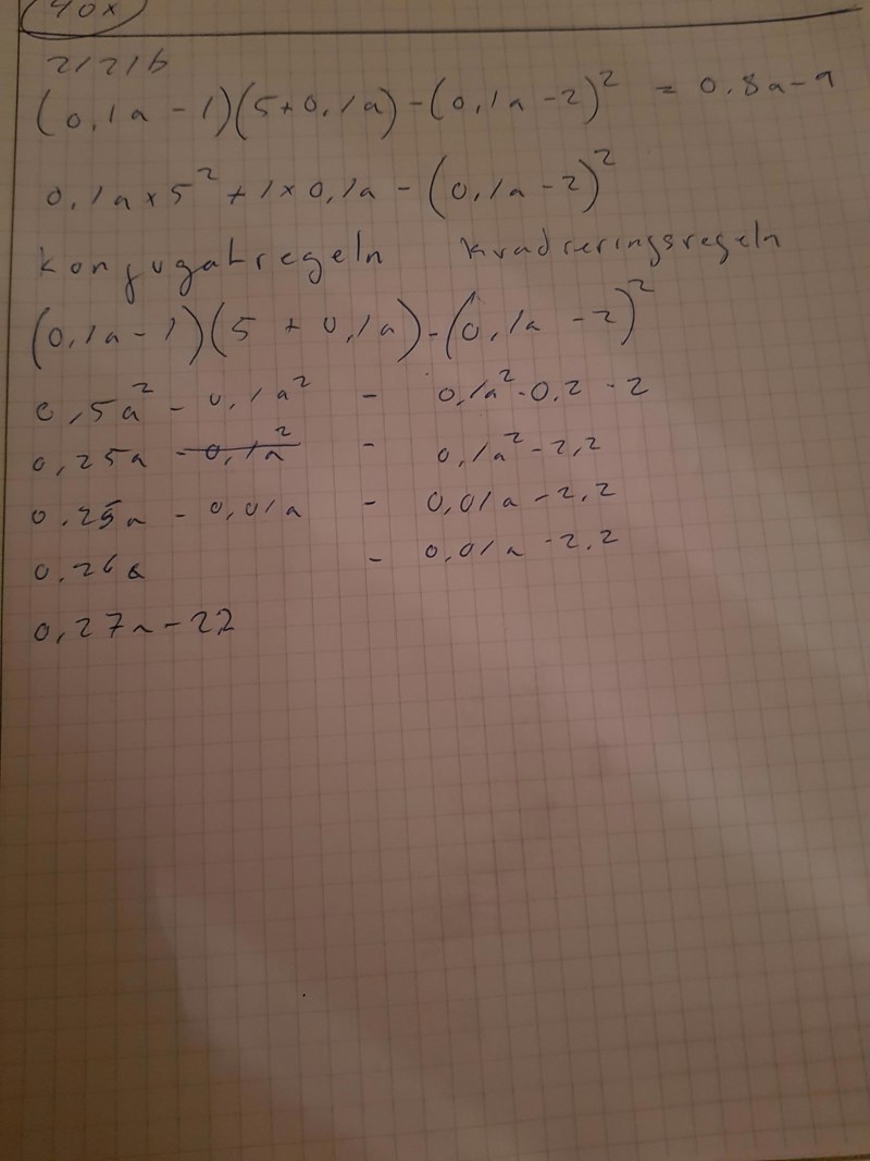
(0,1a - 1)(5+0,1a)-(0,1a-2)^2 får inte till det. Skulle behöva se uträkningen
Du kan inte använda konjugatregeln här - använd vanlig parentesmultiplikation. Behåll parentesen runt hela det uttryck du får genom att kvadrera den sista parentesen - annars blir det lätt teckenfel, som nu. Försök en gång till!
Smaragdalena skrev :Du kan inte använda konjugatregeln här - använd vanlig parentesmultiplikation. Behåll parentesen runt hela det uttryck du får genom att kvadrera den sista parentesen - annars blir det lätt teckenfel, som nu. Försök en gång till!
OK, tack. Räknar på det, återkommer om 5. Varför kan man inte använda konjugatregeln? Upplägget ser ju likadant ut som vid konjugatregeln?
Några småfel:
Du har strukit över upphöjt till 2 i den högra delen. Det är fel. De två nu nämnda tar ut varandra sedan dvs.
Du ska ha två stycken i den till höger. Där har du bara en.
ConnyN skrev :Några småfel:
Du har strukit över upphöjt till 2 i den högra delen. Det är fel. De två nu nämnda tar ut varandra sedan dvs.
Du ska ha två stycken i den till höger. Där har du bara en.
Tusen tack
