6
svar
393
visningar
Maals behöver inte mer hjälp
Kontinuerlig och deriverbar funktion (derivatans definition)

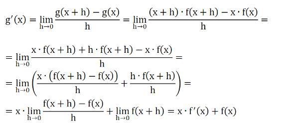
Jag har försökt tolka facit i ett tag nu men förstår ingenting kan någon vara vänlig att förklara hur de kom fram till rad 2 i facit? var kom x, f(x+h) och h ifrån?

De utvecklar uttrycket (x + h) * f(x + h). :)
Jag förstår inte..
Säger du att (x + h) * f(x + h) = x * f(x + h) + h * f(x+h)
Vad e det jag utvecklar?
Maals skrev:Jag förstår inte..
Säger du att (x + h) * f(x + h) = x * f(x + h) + h * f(x+h)
Vad e det jag utvecklar?
Du använder derivatans definition och sedan algebra för att utveckla parenteser och sedan inse att kvoten .
Låt mig klargöra, jag förstår derivatans definition.
Men..
Hur kan de göra såhär? (rad 1 och 2 i facit)
Det är följande räknelag:
Tack nu ser jag det!
Var förvirrad av funktionen.