2
svar
128
visningar
Konvergensuppgift
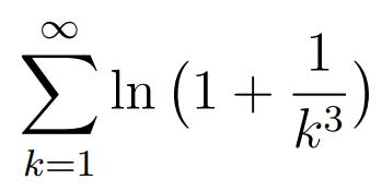
Skulle man kunna lösa konvergensfrågan för serien med hjälp av standars gränsvärden?

För och då borde man väll kunna använda standardgränsvärden. I lösningsförslaget har de använt Maclaurinutveckling men det blir ju samma svar med standardgränsvärdet :)
Hur menar du, du har ju en summa i detta fall? Kan du visa din lösning?
tomast80 skrev:Hur menar du, du har ju en summa i detta fall? Kan du visa din lösning?
är konvergent enligt sats, så även den ursprungliga summan är konvergent