1
svar
131
visningar
itter behöver inte mer hjälp
Kortleksproblem
Hej! Har lite problem med att förstå svar till följande uppgift:
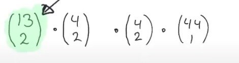
Jag förstår inte riktigt varför det är 4 över två och inte 4 över en, jag fick förståelsen att man tar 2 valörer i början, borde man inte bara behöva ett kort till i varje valör för att få två par?


Först väljer du två valörer, och sedan väljer du två kort till valör 1, och sedan två kort till valör 2. Du skulle också kunna göra så här:

För mig är det mer logiskt att tänka på det här sättet.