4
svar
130
visningar
Lim - gränsvärde


hejsan skulle behöva ha lite vägledning med uppgiften
ska man få upp x till täljaren?
Du behöver inte manipulera detta algebraiskt alls. Det räcker med att konstatera att en exponentialfunktion växer extremt mycket snababre än en potensfunktion, varför hela gränsvärdet går mot noll.
Man behöver inte flytta på något då e0 ändå är 1?
hur kan man bevisa det algebraisk?
Om du vill bevisa att det är så måste du nog ta till med gränsvärdets definition, men det ligger utanför gymnasiematematiken. Det är ett välkänt faktum att exponentialfunktioner () växer jättesnabbt jämfört med potensfunktioner ().
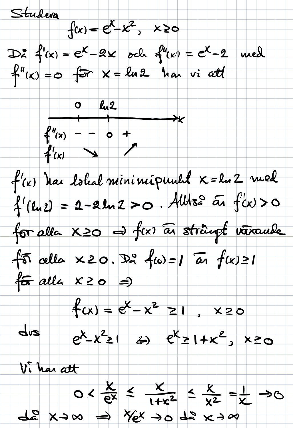
Kanske ngt i stil med nedan som anv. gymnasiebegrepp (hoppas jag)
