Linjär algebra
Bestäm den punkt i planet genom punkterna som ligger närmast punkten D=.
Jag får fram ett plan av de förstnämnda (tre) punkterna, men sedan vet jag inte hur jag ska fortsätta.
- För det kortaste avståndet från tex en linje och en punkt kan man ta linjens riktningsvektor skalärt vektorn med startpunkt på linjen samt punkten. Men det verkar inte vara applicerbart i denna uppgiften då det gäller ett plan (som har två riktningsvektorer).
Du kan utgå från punkten D och gå i normalens riktning till punkten
P = D + n*t
För ett t-värde så kommer P att ligga i planet.
Jag brukar använda ortogonal projektion:

sökta avståndet är (blå vektor). Det kan uttryckas som
(vi projicerar magentafärgad vektor på normalen, P är en punkt i planet).
Notera: (röd vektor) är enhets-normalvektor. (Normera ).
Notera att mitt senaste inlägg resonerar kring problemet ”avstånd punkt-plan”.
Ditt specifika problem berör hur punkten Q ( i min figur) ska väljas. Där följer du Dr. G:s tips.
Hur vet jag att enhetsvektorn är ortogonal mot planet? De illustrerar detta i boken och då ska avståndet vara:
Men kör fast på enhetsvektor/ normalvektorn, hur får jag fram dess värden?
Tidigare skrev du
” Jag får fram ett plan av de förstnämnda (tre) punkterna, men sedan vet jag inte hur jag ska fortsätta.”
Kan du presentera planets ekvation?
.jpg?width=800&upscale=false)

Sträckan värkar stämma enligt geogebra, men punkten stämmer inte med facit, geogebra eller mitt svar.....
Svaret i facit är:
(1,1,0) ligger inte i planet
x - y + 2z = -4
Utan att kontrollräkna fick jag en ekvation för planet till
3x + y + 2z = 4
Jag får fortfarande inte fram den sökta punkten, jag har nu och sätter
och får:
Vilket inte ger den sökta punkten....
D = (-2,-2,1)
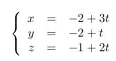
Vi rör oss i normalens riktning (3,1,2) från D till P
P = D + n*t = (3t - 2, t - 2, 2t + 1)
P ska uppfylla planets ekvation
x + 3y + 2z = 4
ger t = 5/7
så
P = (1/7, -9/7, 17/7)
Jag förstår fortfarande inte ditt resonemang, svaret ska bli
Avståndet är korrekt.
Planets ekvation: Dr. G har rätt: .
Normalens ekvation:

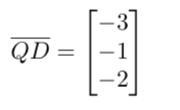
Insättning i planets ekvation (skärningspunkt normal-plan) ger att och den efterfrågade punkten Q (i min figur): , och efter kontroll:

vilket ger (mina beteckningar enl min figur): , som förväntat.
Aha, jag trodde att D = (-2,-2,1), men ser nu att D = (-2,-2,-1).
Då kanske det blir lite snyggare värden...
Tack!