Linjär algebra - egenvärde

Hur får jag reda på egenvärdet i 17 och 19?
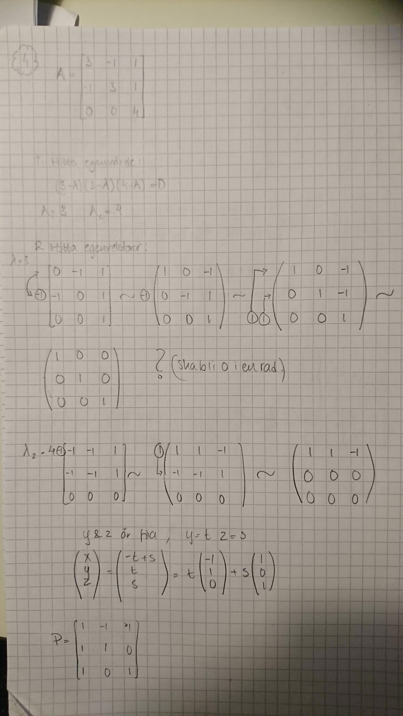
Lös
det(A - lambda*I) = 0
Det blir lite enklare räkningar då matriserna är triangulära.
En matris i vilken alla element under huvuddiagonalen är 0 kallas triangulär uppåt. Determinanten för en sådan matris är produkten av talen längs huvuddiagonalen.
Alltså ger uppgift 19 den karaktäristiska ekvationen
Notera att
Vilket låter dig beräkna uppgift 17 på samma sätt (eller med Sarrus regel)
Hmm okej. Men så i 17 ska egenvärdet vara 2?
och i 19: 5, 3,2 ? stämmer det?
Vad hände om man stoppar in ett egenvärde och inte får en rad med nollor?
Ja det stämmer.
Hur menar du med att man inte får en rad med nollor? Menar du när du beräknar så får du det inte till noll?
Nej alltså jag menar när man väl fått fram egenvärdet och sätter in det i matrisen och gör radoperationer. Då har jag för mig att minst en rad ska bli noll?
Om du inte får en rad till nollor så är det något som är fel.
Den där matrisen är inte triangulär så du kan inte plocka egenvärdena från diagonalen. Utan du måste räkna ut dem på vanligt sätt. Egenvärdena är 4 och 2.
Hur vet man om matrisen är triangulär? Och vad är det "vanliga sättet"?
Den är triangulär om det antingen är så att alla element över diagonalen är noll, eller det är så att alla element under diagonalen är noll. Detta gäller inte i den matris du har.
Med vanliga sättet så menar jag att du ställer upp ekvationen . Då rekommenderar jag att du använder att

Ser det där bättre ut då? Stämmer det?
Ja, dessa är korrekta egenvektorer.

Jag gjorde fortsättningen och det verkar bli nått tokigt här..
Din invers är helt korrekt. Så det är din matrismultiplikation som måste vara fel.
När du utfört matrismultiplikationen för att få elementen så verkar du ha gjort fel på platsen i rad 1 kolonn 3. Du får . du får 1.
Edit: Du har också fel element på rad 3 kolonn 3. Du har 2 men det ska vara 4.
