linjeintegraler av vektorfält
Hej jag håller på med linjeintegraler av vektorfärlt och jag e helt lost, jag är lite förvirrad av de 'formler' jag och vad som hör till vad. Tillexempel så har jag den här uppgiften med facit men förstår inte var dom får .. i facit.


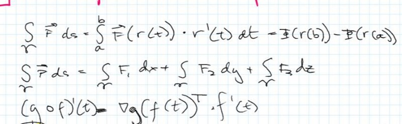
Jag har dom här formelerna, men de hjälper inte så mycket då jag inte hänger med. Undrar om ni kunde hitta nån bra sida som förklarar :/ jag har tenta på måndag så e lite i knipa.
Vad man gör här är att man inser att vektorfältet är ett så kallat konservativt vektorfält (potentialfält). Det kan man se genom att beräkna vektorfältets rotation, (eller ), och visa att den blir noll:
Att ett vektorfält har rotationen innebär även att det finns ett skalärfält sådant att dess gradient är lika vektorfältet , d.v.s.
eller ekvivalent:
Detta fält kan bestämmas med hjälp av de tre differentialekvationerna ovan. Skalärfältet kan jämföras med en primitiv funktion i envariabelfallet. Det går nämligen att beräkna en kurvintegral mellan två punkter och som en skillnad i potentialfunktionen :
Här finns att läsa om potentialfält och kurvintegraler genom dem:
http://ingforum.haninge.kth.se/armin/ALLA_KURSER/SF1626/POTENTIALER.pdf