Lös ekvationen
Nu undrar jag här. På a uppgiften har jag x utanför parentesen. Jag ser med en gång att jag har minst två lösningar. Jag vet inte om detta betraktas som tredjegrads funktion eftersom x ligger utanför. Facit säger att det ska vara enbart två lösningar till det här.
Om man tar nollprodukt metoden måste en av faktorerna vara noll. Varför är inte nollan godkänt som svar undrar jag?
Lösningarna är i annars x= -1, x=1, men inte noll. Nu undrar jag varför.
Sätt in x = 0.
VL blir då 0. HL blir inte 0 i a) och b). 0 är då inte en lösning.
För att använda nollproduktsmetoden måste du skriva om ekvationen så att det ena ledet är 0.
a) kan skrivas som
(x - 1)*(x + 1)^2 = 0
Du använder nollproduktsmetoden på fel sätt.
Du måste först skriva om ekvationen så att det ena ledet är 0 och sedan faktorisera det andra ledet.
Det jag gjorde var att dra ifrån (x + 1)^2 från båda led i a)-uppgiften och faktoriserade sedan VL.
Dr. G skrev :Sätt in x = 0.
VL blir då 0. HL blir inte 0 i a) och b). 0 är då inte en lösning.
För att använda nollproduktsmetoden måste du skriva om ekvationen så att det ena ledet är 0.
a) kan skrivas som
(x - 1)*(x + 1)^2 = 0
Hur kan du få att (x-1)?
(x+1)^2 ?
Jag skrev ett långt svar i en av dina andra trådar, där jag löste uppgiften.
I svaret beskrev jag VAD jag gjorde och VARFÖR jag gjorde det. Läs mitt svar igen, speciellt när jag förklarar varför jag gör beräkningarna.
Jag tackar väldigt mycket för denna hjälp. Imorgon ska jag fråga lite hjälp av andra.
Hej Päivi.
Du har en ekvation som lyder A = B.
Du har försökt att lösa den genom att först lösa ekvationen A = 0 och sedan lösa ekvationen B = 0.
Det är inte en korrekt metod att lösa en ekvation.
Det skulle kunna vara så att A = 0 har helt andra lösningar än B = 0.
Jag kan visa detta med ett exempel:
Om du skulle använda samma lösningsmetod på ekvationen 4x - 8 = x + 1 så skulle du få följande ekvationer:
Ekv 1: Vänsterledet är lika med 0, dvs 4x - 8 = 0.
Denna ekvation har lösningen x = 2.
Ekv 2: Högerledet är lika med 0, dvs x + 1 = 0.
Denna ekvation har lösningen x = -1.
Enligt din metod skulle alltså ekvationen 4x - 8 = x + 1 ha två lösningar, nämligen x = 2 och x = -1.
Men det stämmer ju inte eftersom den rätta lösningen är x = 3.
Det betyder att denna metod att lösa en ekvation inte fungerar.
------------------
En korrekt metod är istället antingen den som Dr. G tipsade om i denna tråd eller den som jag tipsade om i en tidigare tråd.
Metoden Dr. G tipsade om:
Ekvationen lyder
Subtrahera från båda sidor:
Pä vänstra sidan har du nu två termer som båda har den gemensamna faktorn .
Första termen är .
Andra termen är .
Vi kan då bryta ut den gemensamma faktorn :
Nu består vänsterledet av två faktorer och .
Produkten av dessa två faktorer är 0. Nollproduktmetoden ger oss då att antingen är , dvs eller så är , dvs .
Det betyder att lösningarna är och .
Vi är inte klara med a-uppgiften ännu Päivi.
Din nya lösning är inte korrekt.
Uttrycket på rad 2 (rödmarkerat) är inte identiskt med uttrycket på rad 3 (grönmarkerat)
Du sätter de tre komponenterna lika med 0 var för sig (blåmarkerat), men det är inte rätt metod att lösa ekvationen.
Läs mitt svar igen. Följ noga varje steg. Fråga om det du inte förstår.

Faktorn (x-1) finns inte någonstans i uppgiften.
Var menar du att den skulle komma ifrån?
EDIT: De omvandlingar du har skrivit är felaktiga. Se Yngves tidigare färgmarkeringar.
EDIT 2: Det här blev rörigt. Jag återkommer.
Du har blandat ihop dina (x+1) och (x-1).
Se här. Jag har grönmarkerat dina (x+1)^2

Hur många (x+1)^2 är det du har, i vänsterledet?
Om det hade stått , hade det varit enklare då?
Hej Päivi.
Du har ekvationen
Kalla nu för .
Då kan du skriva ekvationen . Är du med på det?
Nu ser du att är en gemensam faktor i båda termerna i vänsterledet och du kan alltså bryta ut den.
Det ger dig ekvationen . Är du med på det?
Byt nu tillbaka från till .
Då blir ekvationen . Är du med på det?
------
Hängde du med på alla steg? Fråga annars om det som är oklart.
Nej.
Du har x stycken gröna rutor och tar bort en grön ruta. Hur många gröna rutor har du kvar?
Jag tycker nog att jag hängde med ditt, Yngve!
Det blir x-1
Den rödkryssade raden är fel Päivi.
Den är inte identisk med den raden som står ovanför.

------------------
Jag är inte säker på att jag förstår denna din fråga Päivi, men jag tror att du undrar varifrån faktorn 1 kommer. Svaret är att termen kan skrivas som .

----------------
Läs slutet av detta inlägg noga igen och berätta här vilka delar du förstår och vilka delar du inte förstår istället för att bara posta en bild på en ny uträkning.
Jag vill veta vad du förstår och vad du inte förstår.
Jag ska ta kopiera din text, vad jag förstår och inte gör.
Jag ska göra detta med dator.
Du har ekvationen x(x+1)2−(x+1)2=0x(x+1)2-(x+1)2=0
Kalla nu (x+1)2(x+1)2 för AA.
Då kan du skriva ekvationen x⋅A−A=0x·A-A=0. Är du med på det?
Nu ser du att AA är en gemensam faktor i båda termerna i vänsterledet och du kan alltså bryta ut den.
Det ger dig ekvationen A⋅(x−1)=0A·(x-1)=0. Är du med på det?
-----------------
Så här mycket är jag med på ja.Yngve!
Ekvationen lyder
x(x+1)2=(x+1)2x(x+1)2=(x+1)2
Subtrahera (x+1)2(x+1)2 från båda sidor:
x(x+1)2−(x+1)2=0x(x+1)2-(x+1)2=0
Pä vänstra sidan har du nu två termer som båda har den gemensamna faktorn (x+1)2(x+1)2.
Första termen är x⋅(x+1)2x·(x+1)2.
Andra termen är 1⋅(x+1)21·(x+1)2.
Så här mycket är jag med på.
Det här multiplikationen mellan termerna, Yngve
Päivi skrev :Det här multiplikationen mellan termerna, Yngve
Jag förstår inte vad du skriver. Vad är det du undrar över?
Jag ska kopiera det.
Vi kan då bryta ut den gemensamma faktorn (x+1)2(x+1)2:
(x+1)2⋅(x−1)=0
Mellan faktorerna har vi multiplikation, varifrån kommer det?
Päivi skrev :Vi kan då bryta ut den gemensamma faktorn (x+1)2(x+1)2:
(x+1)2⋅(x−1)=0
Mellan faktorerna har vi multiplikation, varifrån kommer det?
1. Om du har ett uttryck som är så kan du bryta ut den gemensamma faktorn och skriva uttrycket som . Är du med på det?.
2. Om du har ett uttryck som är så kan du bryta ut den gemensamma faktorn och skriva uttrycket som . Är du med på det?
3. Om du har ett uttryck som är så kan du bryta ut den gemensamma faktorn och skriva uttrycket som . Är du med på det?
4. Om du har ett uttryck som är så kan du bryta ut den gemensamma faktorn och skriva uttrycket som . Är du med på det?
5. Om du har ett uttryck som är så kan du bryta ut den gemensamma faktorn och skriva uttrycket som . Är du med på det?
6. Om du har ett uttryck som är så kan du bryta ut den gemensamma faktorn och skriva uttrycket som . Är du med på det?
7. Om du har ett uttryck som är så kan du bryta ut den gemensamma faktorn och skriva uttrycket som . Är du med på det?
-------------------
Skriv numren på de rader du förstår och numren på de rader du inte förstår.
Från 1-4 förstår jag, Yngve!
Från 5 till 7 är besvärligare
Päivi skrev :Från 5 till 7 är besvärligare
Alla uttryck har samma form Päivi.
Alla uttryck är av formen .
Alla uttryck kan därför faktoriseras till .
-------------------------------
Nu har jag redigerat mitt svar ovan och färgat de gemensamma faktorerna i blått så att det är lättare att se. Titta igen noga.
- Vilka förstår du nu?
- Vilka förstår du fortfarande inte?
Jag förstår så. Jag tror att din metod är bäst att sitta skriva bokstäver på det viset, då fungerar det.
Päivi skrev :Jag förstår så. Jag tror att din metod är bäst att sitta skriva bokstäver på det viset, då fungerar det.
Menar du att metod 2 nedan är enklare för dig att förstå än metod 1?
Metod 1: Direktfaktorisering
Metod 2: Förenkla först genom substitution
Uttrycket är
Substituera
Uttrycket kan då skrivas
Substituera tillbaka.
Uttrycket kan då skrivas
Yngve!
Jag somnade helt plötsligt.
Metod 2 har jag lättare att först å än det andra på konstigt sätt, måste jag säga. Jag var väldigt sömnig och somnade mitt i allt.
Jag behöver träna på sådant här måste jag säga.
Hej Yngve!
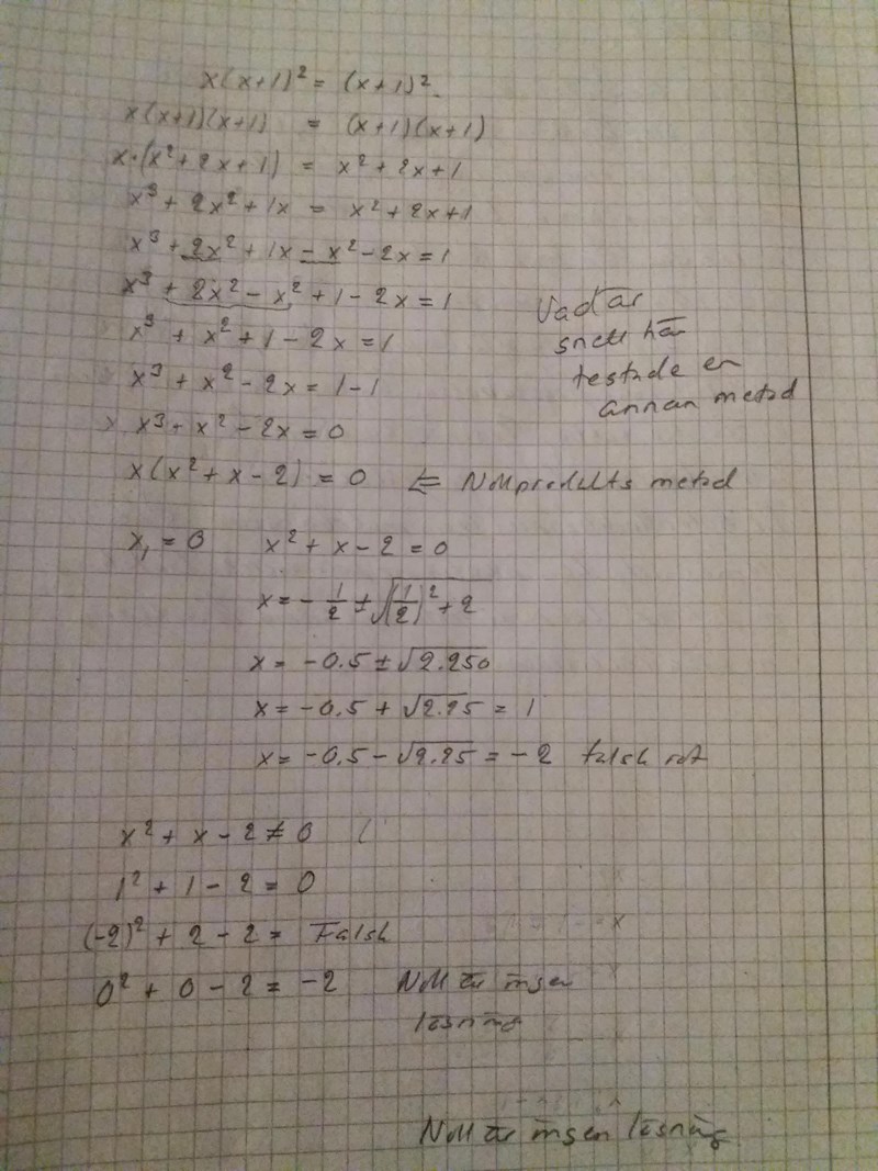
Nu undrar jag, varför fungerar inte denna metod att lösa denna uppgift som jag frågade hjälp av. Hittade det här från en annan bok. Ville visa lösnings metod. Ska visa en bild till Dig. Vad säger du om detta, Yngve?
Jag förstår inte detta. Varför måste det tas upp sådan lösnings metod som inte är fungerande i boken?
Testade den här metoden som boken tog upp, men den är inte fungerande. Jag tror inte att jag har gjort fel med uträkningen, men någonstans är fel ändå.
Jag gjorde kontroll också. Kom fram till att 0 är ingen lösning.
Din metod är bättre metod 2, Yngve. Kontrollera Du, Yngve
Har du Yngve någon förklaring till detta?
Päivi skrev :Jag förstår inte detta. Varför måste det tas upp sådan lösnings metod som inte är fungerande i boken?
Testade den här metoden som boken tog upp, men den är inte fungerande. Jag tror inte att jag har gjort fel med uträkningen, men någonstans är fel ändå.
Jag gjorde kontroll också. Kom fram till att 0 är ingen lösning.
Din metod är bättre metod 2, Yngve. Kontrollera Du, Yngve
Har du Yngve någon förklaring till detta?
Förklaringen är att du gjort fel och därmed får fel svar. Deras metod 2 är fullt fungerande.
Kan du påpeka ut, var felet sitter.
Päivi skrev :Kan du påpeka ut, var felet sitter.
Ja det kan jag. Någonstans i steg 5-7 blir det fel med din konstantterm. Ta en titt på det.
Nej, den hittar jag inte. Får jag inte hjälp, får jag hjälp senare idag i alla fall på kvällen.
Hej Päivi!
På rad 6 har du skrivit när det istället ska vara
Albiki
Din metod att lösa ekvationen resulterar i tredjegradsekvationen
Detta visar att din metod är inte bra.
Det går inte köra efter den här metoden som boken visar.
Päivi skrev :Det går inte köra efter den här metoden som boken visar.
Hej Päivi. Det stämmer att metoden inte fungerar bra på ditt problem.
Fråga: Förstår du varför metoden fungerar bra i boken men inte på ditt problem?
--------
Jag ställde en fråga igår kväll i detta inlägg. Du har inte besvarat den frågan.
Något bättre i alla fall. Jag testade köra efter bokens metod, men det blev inte bra. Jag är lite osäker på de här uppgifterna ändå. Jag ska försöka göra b uppgift, får vi se hur den fungerar. Det här är matte 3. Mycket sker automatiskt, när man ser något och kan tänka ut. Det är inte säkert att metoden passar in.
Päivi skrev :
Bravo Päivi. Det här var mycket bättre.
Du har hittat rätt lösningar till både b- och c-uppgiften.
Men det saknas ett resonemang kring varför du kan dividera bort gemensamma faktorer.
Du bör tydligt beskriva i vilka fall du kan göra på det sättet och du bör tydligt beskriva hur du gör i de fall där du inte kan göra på det sättet.
Jag visade hur du kan göra det i en annan tråd nyligen.
Nu hittade jag tråden där jag beskrev hur du kan resonera kring detta med att dividera bort faktorer som kan anta värdet 0.
- Läs detta inlägg och de som följer efter det.
- Plocka fram dina "papegojegenskaper" och visa här ett liknande resonemang i lösningarna till b- och c-uppgiften.
B uppgiftens beskrivning
Vi har både vänster och höger led (x-1)(x+1) de här parentesen.
Ekv1 Kan vi förkorta bort parentesen med en gång. Då blir x på vänstra sidan kvar och på högra sidan en tvåa. Där har vi ett nollställe redan.
Sedan tar vi reda på vad som finns inne parentesen och söker Noll ställen, när vi sätter att någon är lika med noll. Om x är noll och summan är noll, får vi reda på det andra nollstället.
Varför vi kan dividera bort så här beror på eftersom vi har x på vänstra sidan och en 2 på högra.
C uppgiften
Samma gäller med c uppgiften. Vi har likadana parenteser. Vi har möjlighet med en gång använda nollprodukts metoden, därför kan vi förkorta bort parentesen.
Varför vi inte kan göra så, beror på hur VL och HL ser ut har vi bara ett x på VL, men inte HL, då får man faktorisera det istället.
Yngve skrev :
Nu hittade jag tråden där jag beskrev hur du kan resonera kring detta med att dividera bort faktorer som kan anta värdet 0.
- Läs detta inlägg och de som följer efter det.
Plocka fram dina "papegojegenskaper" och visa här ett liknande resonemang i lösningarna till b- och c-uppgiften.
------------------
Jag måste till toilet. Jag ska titta på det och återkommer.
Ja gör det.
Du har en bra början till resonemang här ovan, men den viktigaste delen saknas, nämligen den om att faktorerna måste vara nollskilda för att du ska kunna dividera bort dem.
Du ska alltså dela upp lösningen i flera fall:
1. En av faktorerna är noll, det betyder att ...
2. En annan av faktorerna är noll, det betyder att ...
(o.s.v)
n. Ingen av faktorerna är lika med noll, det betyder att du kan dividera bort dem.
O.s.v.
Jag ska försöka babbla här nu liten stund. Jag har inte uppgiften riktigt framme. Grejen är ju så att nämnaren får inte bli noll och inte ens täljaren. Det viktigaste av allt att nämnaren får inte bli noll. Det går inte dividera någonting med noll. Därför måste det vara frånskild från det som gör att nämnaren blir noll. När inte nämnaren blir noll, då kan vi dividera bort både nämnaren och täljaren från varandra.
Har vi ex i nämnaren x-1, får inte x vara 1, annars blir nämnaren noll. Det får vara alla andra värden som gör att inte nämnaren blir noll.
Det som finns nu i parentesen. Söker vi nu ett nollställe, så är x noll, när summan eller och differensen är noll. Då får vi reda på det andra nollstället på det viset. När någonting är redan noll. Vid tredje grads ekvation kan vi använda nollprodukts metoden. Då måste en av faktorerna vara noll om produkten ska vi noll.
Päivi skrev :Jag ska försöka babbla här nu liten stund. Jag har inte uppgiften riktigt framme. Grejen är ju så att nämnaren får inte bli noll och inte ens täljaren. Det viktigaste av allt att nämnaren får inte bli noll. Det går inte dividera någonting med noll. Därför måste det vara frånskild från det som gör att nämnaren blir noll. När inte nämnaren blir noll, då kan vi dividera bort både nämnaren och täljaren från varandra.
Har vi ex i nämnaren x-1, får inte x vara 1, annars blir nämnaren noll. Det får vara alla andra värden som gör att inte nämnaren blir noll.
Det som finns nu i parentesen. Söker vi nu ett nollställe, så är x noll, när summan eller och differensen är noll. Då får vi reda på det andra nollstället på det viset. När någonting är redan noll. Vid tredje grads ekvation kan vi använda nollprodukts metoden. Då måste en av faktorerna vara noll om produkten ska vi noll.
Ja det är bättre Päivi.
Här ger jag dig ett exempel på hur du kan resonera och beskriva ditt resonemang på b-uppgiften.
Fråga: Förstår du stegen i lösningsbeskrivningen nedan och speciellt detta kring faktorernas likhet/icke likhet med 0?
Försök att använda samma struktur och tydlighet i resonemanget på c-uppgiften.
--------------------------------------
Uppgift b: Ekvationen är
Vi ser direkt att om faktorn är lika med 0 så är ekvationen uppfylld. Därför är en lösning till ekvationen .
Vi ser även att om faktorn är lika med 0 så är ekvationen uppfylld. Därför är en annan lösning till ekvationen .
Nu undersöker vi de fall där x varken är lika med -1 eller 1.
Då är båda faktorerna (x-1) och (x+1) skilda från noll och vi kan då därför dividera bort dem:
Efter förenkling får vi ekvationen
x = 2, vilket är ekvationens tredje lösning.
Svar: Ekvationen har lösningarna x = -1, x = 1 och x = 2.
-----------------------------------
Hej Päivi!
Jag gav dig svar på var någonstans du räknade fel imorse. Du valde att inte kommentera mitt inlägg, vilket jag tolkar som att du struntade i det och ville vänta och se vad Yngve hade att säga.
Jag är besviken på dig Päivi. Du kunde åtminstone ha skrivit att du inte är intresserad av det jag skrev, att det är super överkurs eller något liknande.
Albiki
Jag struntar ingenting alls. Jag hade helt enkelt inte tid. När jag var färdig kom jag tillbaka dit titta. Det var eftermiddags tiden. Jag hade två trådar att titta på. Igår höll jag på med Yngve och somnade mitt i allt. Sedan fortsatte jag med Yngbe bra länge. När jag var färdigt. Sedan kom jag. Yngve var också sur, nör jag höll på skrev väldigt mycket och hade inte tid med honom. Senare talade jag om att snart tar jag tråden.
Nu hade jag två trådar öppet samtidigt på två olika kurser. Jag ska iväg snart.
Päivi skrev :Jag struntar ingen alls. Jag hade helt enkelt inte tid. När jag var färdig kom jag tillbaka dit titta. Det var eftermiddags tiden. Jag hade två trådar att titta på. Igår höll jag på med Yngve och somnade mitt i allt. Sedan fortsatte jag med Yngve bra länge idag. När jag var färdigt. Sedan kom jag tillbaka. Yngve var också sur, nör jag höll på skrev väldigt mycket och hade inte tid med honom. Senare talade jag om att snart tar jag tråden.
Nu hade jag två trådar öppet samtidigt på två olika kurser. Jag ska iväg snart till räkne stugan.
Jag läser allt vad folk skriver. Det var x^2 som var fel där. Det skulle vara x/2. Det var något sådant. Jag fick uppgiften rätt ändå.
Päivi skrev :...
Yngve var också sur, nör jag höll på skrev väldigt mycket och hade inte tid med honom.
...
Nej så var det inte Päivi.
Jag skrev av Bubos och vad den andra hette. Kommer inte ihåg. Det tog minsann tid för mig skriva ner allt. Är jag viss tråd, då gör jag den färdig först. När jag var färdig, då tittade jag på Yngves inlägg och läste den. Jag läser allt genom.
Idag har jag varit i räknestugan. Träffade trevliga typer där.







