Lös ekvationen algebraiskt 2.0
Hej!
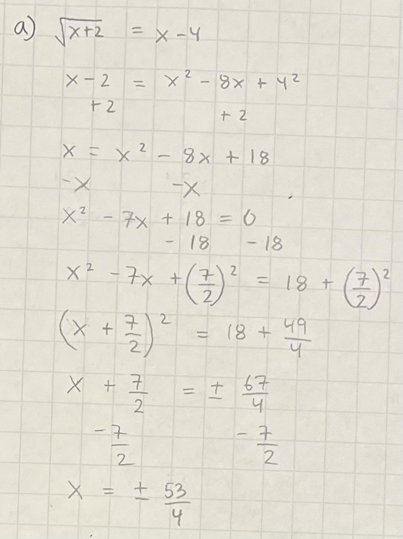
Jag håller på att lösa denna ekvation som du kan se nedan. Nedan kan du även se hur jag har börjat lösa uppgiften (med hjälp av kvadratkomplettering). Jag undrar vad för fel jag gör? Varför kommer jag inte fram till rätt svar?
Jag uppskattar all hjälp! Tack på förhand!


Andra raden borde lyda:
x+2=x2-8x+42
(Och redan på början borde man fastslå att x ska vara minst -2.)
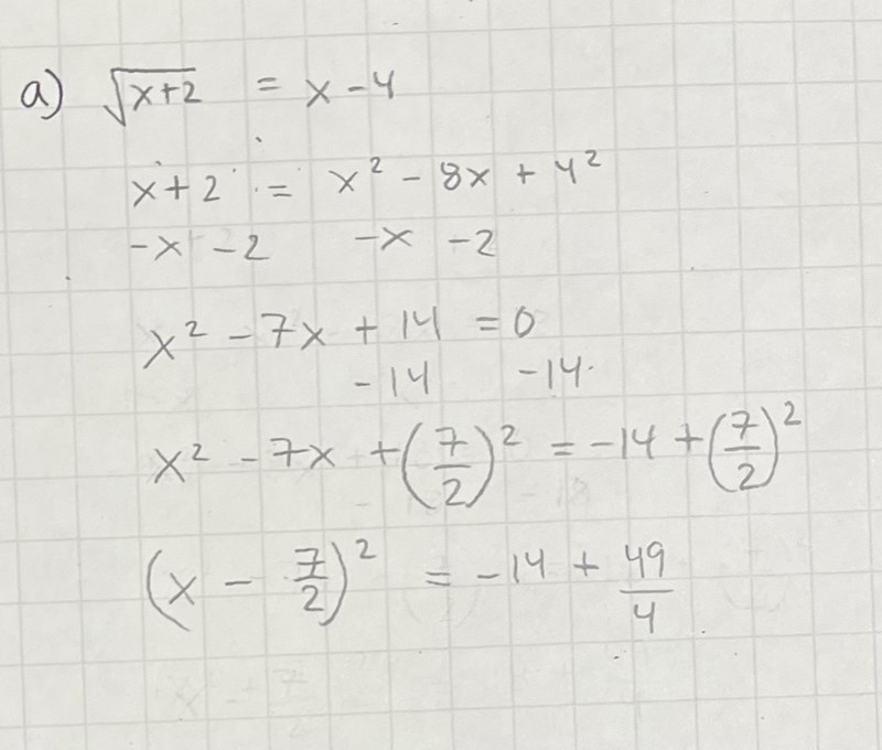
Nu har jag fixat felet, och kommit så här långt, hur går jag vidare?

När du tar bort x och 2 från HL, får du x2-9x+14
Nä, jag får väll ändå x2 - 7x + 14, i och med att jag subtraherar x på HL och inte adderar det. Hur tänker du?
-8x-x = -9x.
Ahaa, nu fattar jag!
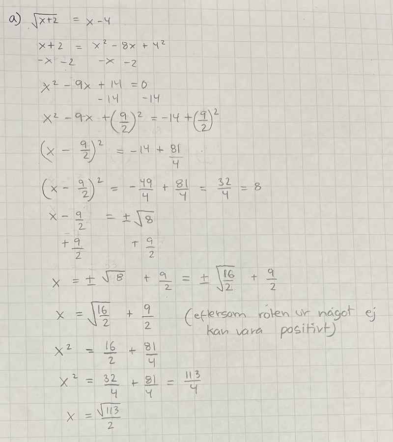
Nu har jag gjort så här, men jag kommer ändå inte fram till rätt svar. Vad för fel har jag gjort nu då?

14*4 = 56 (och inte 49)
Tack! Nu kom jag fram till korrekt svar!