7 svar
170 visningar
maratikmatorkin Online 394
Postad: 21 aug 2025 11:35 Redigerad: 21 aug 2025 11:35

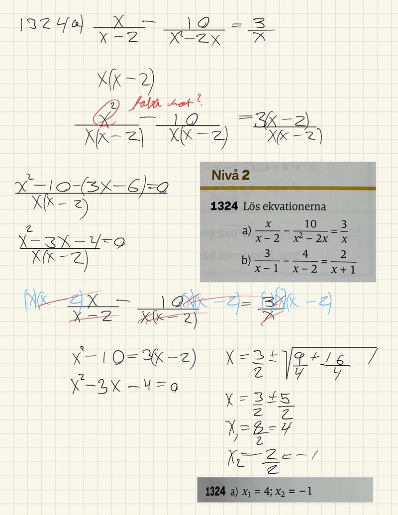
”Lös ekvationerna”. Falska rötter?

Hej.

 

Lite som fortsättning på det vi talade om tidigare. Nu kan jag inte släppa det här med falska rötter. Har jag inte introducerat en falsk rot här då?

mvh

Laguna Online 32110
Postad: 21 aug 2025 12:18

Om du är osäker är det alltid rätt att sätta in rötterna och prova om de stämmer.

maratikmatorkin Online 394
Postad: 21 aug 2025 12:57
Laguna skrev:

Om du är osäker är det alltid rätt att sätta in rötterna och prova om de stämmer.

Jättebra tips givetvis.

naytte Online 7889 – Moderator
Postad: 21 aug 2025 13:24 Redigerad: 21 aug 2025 13:32

Falska rötter introduceras då man manipulerar något algebraiskt som saknas "invers" eller vad man nu ska säga. Exempelvis, om du har ekvationen:

x+6=x-2\displaystyle \sqrt{x+6}=x-2

och kvadrerar båda led kommer du få:

x+6=(x-2)2\displaystyle x+6=(x-2)^2

Vi har nu använt en implikation, x+6=x-2x+6=(x-2)2\sqrt{x+6}=x-2 \Longrightarrow x+6=(x-2)^2. Faktum är att vi har transformerat uttrycket irreversibelt, för det gäller inte i allmänhet att x+6=(x-2)2x+6=x-2x+6=(x-2)^2 \Longrightarrow \sqrt{x+6}=x-2 . Så det betyder att du nu inte längre har samma ekvation, du har transformerat ekvationen till en ny ekvation, och det är därför du kommer få en rot som är falsk.

Det är så jag tänker i alla fall. 

Laguna Online 32110
Postad: 21 aug 2025 14:26

Det enda som kan bli en falsk rot i den här uppgiften är 0 och 2, för det är de som gör nämnare lika med 0.

maratikmatorkin Online 394
Postad: 21 aug 2025 14:56
naytte skrev:

…vi har transformerat uttrycket irreversibelt, för det gäller inte i allmänhet att x+6=(x-2)2x+6=x-2x+6=(x-2)^2 \Longrightarrow \sqrt{x+6}=x-2 .

varför gäller inte detta?

Bubo 8053
Postad: 21 aug 2025 15:00 Redigerad: 21 aug 2025 15:00

Du har introducerat en multiplikation med x/x och den kan ställa till med problem.

Att multiplicera med noll ger 0*5 = 0*7 trots att 5 inte är 7.

Att dividera med noll ger alltid jättefel.

Det är alltså viktigt att specialbehandla x=0, men det var du ändå tvungen att göra. Nämnaren i andra bråket kan ju inte vara noll. 

maratikmatorkin Online 394
Postad: 21 aug 2025 16:21

Tack för alla svar. Får suga på den karamellen. Kanske ställer frågor som jag inte har verktygslådan att förstå helt ännu. Men väldigt glad att jag ger mig ut i det okända då och då inom matematiken. Inser att matematik är ett djupt ämne med det är samtidigt motiverande. 

Svara
Close