Vilken algebraisk metod är du mest bekväm med, substitutionsmetoden eller additionsmetoden?
Yngve skrev:Vilken algebraisk metod är du mest bekväm med, substitutionsmetoden eller additionsmetoden?
Båda fungerar lika bra för mig
Är det uppgift 1277 det handlar om?
Om båda fungerar lika bra för dig, så kan du välja vilken som helst av metoderna. (Själv föredrar jag substitutionsmetoden för det mesta. Jag skulle ha löst ut y ur ekvation 1.)
Velebit skrev:
Båda fungerar lika bra för mig
OK bra. Välj någon och börja räkna.
Visa ditt försök.
Velebit skrev:
Jag kom inte längre än såhär
Yngve skrev:Velebit skrev:Båda fungerar lika bra för mig
OK bra. Välj någon och börja räkna.
Visa ditt försök.

Smaragdalena skrev:Är det uppgift 1277 det handlar om?
Om båda fungerar lika bra för dig, så kan du välja vilken som helst av metoderna. (Själv föredrar jag substitutionsmetoden för det mesta. Jag skulle ha löst ut y ur ekvation 1.)
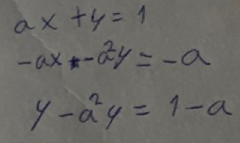
Hur fortsätter man
Fortsätt härifrån:

Faktorisera vänsterledet så långt det går (titta på ledtråden du fick i boken), samla alla termer på ena sidan av likhetstecknet och faktorisera igen.
Använd nollproduktmetoden för att gå vidare.
Du hittar då två intressanta specialfall för värdet på konstanten a. Hantera dem separat och lös sedan ekvationsssystemet för övriga värden på a.
Lösning om du är intresserad
naytte skrev:Lösning om du är intresserad
Varför blir a2x+1-x=1 ?
naytte skrev:Lösning om du är intresserad
Det som efterfrågas är lösningen på ekvationssystemet, dvs vad x och y är (eventuellt uttryckt i a), inte vad ett möjligt värde på a är.
Yngve skrev:naytte skrev:Lösning om du är intresserad
Det som efterfrågas är lösningen på ekvationssystemet, dvs vad x och y är (eventuellt uttryckt i a), inte vad ett möjligt värde på a är.
Ja precis, men hur går jag vidare?
Som Yngve beskrev i inlägg #10.
Smaragdalena skrev:Som Yngve beskrev i inlägg #10.
Förstår frf inte
Jag kan visa de första stegen:
Faktorisera vänsterledet, steg 1:
Fortsätt att faktorisera vänsterledet, med hjälp av ledtråden du fick i boken:
Samla alla termer på ena sidan av likhetstecknet:
Faktorisera igen:
Kommer du vidare själv med mina tips?
Dvs
- Använd nollproduktmetoden för att gå vidare.
- Du hittar då två intressanta specialfall för värdet på konstanten a. Hantera dem separat.
- Lös sedan ekvationsssystemet för övriga värden på a.

