Lösa ekvationssystemet
Hej!
Jag behöver er hjälp med att lösa ett ekvationssystem som enligt uppgiften ska lösas med valfri metod. Min gissning är att substitutionsmetoden är att föredra i detta fallet, men jag förstår inte hur jag ska lösa denna uppgiften.
Ekvationen lyder:
{ x - 2y - 2 = 0
{ 3y = 1,5x + 12
Observera båda ekvationer ska ha en stor parantes på vänster sida som för dom samman men jag vet inte hur jag ska skriva det på telefonen så de ska se ut så.
Visst, du kan använda substitutionsmetoden. Till exempel genom att ta övre ekvationen och lösa ut x ur denna till x=2y+2.
Sedan stoppar du in detta i den andra ekvationen ock får då 3y=1,5(2y+2)+12.
Till sist är det bara att lösa detta (Och tolka resultatet, det blir nämligen lite udda)
AndersW skrev :Visst, du kan använda substitutionsmetoden. Till exempel genom att ta övre ekvationen och lösa ut x ur denna till x=2y+2.
Sedan stoppar du in detta i den andra ekvationen ock får då 3y=1,5(2y+2)+12.
Till sist är det bara att lösa detta (Och tolka resultatet, det blir nämligen lite udda)
Tack för ditt svar.
Skulle du föredra någon annan metod för ekvationen? Isåfall varför? Jag har precis påbörjat kursen och allt detta är helt nytt för mig så jag försöker verkligen förstå de olika uppgifterna och metoderna och kan därför kanske inte hitta sättet för den enklaste lösningen.
Vilken metod man skall välja är lite av en smaksak och en erfarenhetsfråga. Skillnaden i de olika metoderna gör att det kan bli lite "enklare" siffror om man väljer den ena före den andra. Men tycker du om att använda substitutionsmetoden, använd den för all del. Därav detta med smaksak.
Erfarenheten gör att man ibland kan se att den ena metoden blir enklare. Om man till exempel har ena (eller båda) ekvationerna i form av en variabel som funktion av den andra (y= eller x=) så är substitutionsmetoden att föredra medan om man har båda i form av ax+by=c är kanske additionsmetoden att föredra.
Prova dig fram. Om du fick lite "osnygga" siffror att jobba med, testa en annan metod och försök förstå varför det blev olika komplicerat.
AndersW skrev :Vilken metod man skall välja är lite av en smaksak och en erfarenhetsfråga. Skillnaden i de olika metoderna gör att det kan bli lite "enklare" siffror om man väljer den ena före den andra. Men tycker du om att använda substitutionsmetoden, använd den för all del. Därav detta med smaksak.
Erfarenheten gör att man ibland kan se att den ena metoden blir enklare. Om man till exempel har ena (eller båda) ekvationerna i form av en variabel som funktion av den andra (y= eller x=) så är substitutionsmetoden att föredra medan om man har båda i form av ax+by=c är kanske additionsmetoden att föredra.
Prova dig fram. Om du fick lite "osnygga" siffror att jobba med, testa en annan metod och försök förstå varför det blev olika komplicerat.
Då jag inte har knappt någon erfarenhet alls så är de enklaste sättet att föredra. Skulle du kunna guida mig igenom hur man löser ekvationen på lättaste sättet för jag är osäker på hur man gör? Vilken metod hade du valt?
AndersW skrev :Visst, du kan använda substitutionsmetoden. Till exempel genom att ta övre ekvationen och lösa ut x ur denna till x=2y+2.
Sedan stoppar du in detta i den andra ekvationen ock får då 3y=1,5(2y+2)+12.
Till sist är det bara att lösa detta (Och tolka resultatet, det blir nämligen lite udda)
Lite udda, ja, det är det väl :)
3y=1,5(2y+2)+12
3y=3y+3+12
0=15
Står det rätt i uppgiften?
larsolof skrev :AndersW skrev :Visst, du kan använda substitutionsmetoden. Till exempel genom att ta övre ekvationen och lösa ut x ur denna till x=2y+2.
Sedan stoppar du in detta i den andra ekvationen ock får då 3y=1,5(2y+2)+12.
Till sist är det bara att lösa detta (Och tolka resultatet, det blir nämligen lite udda)
Lite udda, ja, det är det väl :)
3y=1,5(2y+2)+12
3y=3y+3+12
0=15
Står det rätt i uppgiften?
VILL du guida mig igenom hur du tänker när du löser alla stegen i uppgiften, då jag lättare kan hänga med. Jag vet inte ens hur jag ska göra mer än att jag vet att jag ska ta reda på vad x och y blir i ekvationen, men jag vet inte hur man gör.
amisso skrev :Hej!
Jag behöver er hjälp med att lösa ett ekvationssystem som enligt uppgiften ska lösas med valfri metod. Min gissning är att substitutionsmetoden är att föredra i detta fallet, men jag förstår inte hur jag ska lösa denna uppgiften.
Ekvationen lyder:
( x - 2y - 2 ) = 0
( 3y ) = 1,5x + 12
Observera båda ekvationer ska ha en stor parantes på vänster sida som för dom samman men jag vet inte hur jag ska skriva det på telefonen så de ska se ut så.
Visst vill jag guida dig, men kolla först om det verkligen står rätt i uppgiften.
larsolof skrev :amisso skrev :Hej!
Jag behöver er hjälp med att lösa ett ekvationssystem som enligt uppgiften ska lösas med valfri metod. Min gissning är att substitutionsmetoden är att föredra i detta fallet, men jag förstår inte hur jag ska lösa denna uppgiften.
Ekvationen lyder:
( x - 2y - 2 ) = 0
( 3y ) = 1,5x + 12
Observera båda ekvationer ska ha en stor parantes på vänster sida som för dom samman men jag vet inte hur jag ska skriva det på telefonen så de ska se ut så.
Visst vill jag guida dig, men kolla först om det verkligen står rätt i uppgiften.
Tack! Såhär står det:
Ok. Men det är konstigt för det blir två räta linjer som inte korsar varandra
och då är det inget lösbart ekvationssystem. Jag visar en bild strax.
Men ändå, hur använda substitutionsmetoder? Jo, t.ex. lös ut x i ekvation a)
och ersätt (substituera) x i ekvation b) med detta värde.
a) x - 2y - 2 = 0
x = 2y + 2
b) 3y = 1,5x + 12
byt ut x i b) mot vad x är lika med i a)
3y = 1,5(2y + 2) + 12
3y = (3y + 3 ) + 12
3y = 3y + 3 +12
ta minus 3y i båda leden
0 = 3 +12
detta är ju knasigt, därför tror jag att uppgiften är fel avskriven
larsolof skrev :
Precis såhär står de på frågan så jag vet inte riktigt hur jag ska lösa den och vad jag ska svara isåfall?
Fråga a) kunde jag lösa enkelt då det inte var några problem att lösa ut x och därmed räkna ut y, men b) förstår ja verkligen inte och kan inte heller hitta någon liknande uppgift i matteboken.
Finns det facit i matteboken? Vad står där på b) ?
Om det är ett tryckfel i matteboken, ett minus i.st.f. ett plus
så blir det ett lösbart ekvationssystem, så här:
a) x + 2y - 2 = 0
b) 3y = 1,5x + 12
Då blir lösningen x=-3 y=2,5

larsolof skrev :Finns det facit i matteboken? Vad står där på b) ?
Det finns inget facit då detta är med på en inlämningsuppgift jag har då jag läser Matematik 2a distans hemmifrån.
Om det skulle vara + istället för - så är det kanske bättre att använda additionsmetoden va? Isåfall hur räknar jag ut uppgiften från början till slut?
a) x + 2y - 2 = 0
b) 3y = 1,5x + 12
Additionsmetod = addera VL och HL i de två ekvationerna, men för att det ska
leda till en lösning så ska additionen göra att alla x-termer eller y-termer försvinner.
För att det ska bli så i detta exempel gör jag om a)
x + 2y - 2 = 0
2y = -x + 2
multiplicerar VL och HL med 1,5
3y = -1,5x + 3
Nu har jag -1,5x i a) och +1,5x i b) så nu adderar jag a) och b) ledvis.
a) 3y = -1,5x + 3
b) 3y = 1,5x + 12
a+b) 6y = 3 + 12
6y = 15
y = 2,5
Nu kan jag sätta in y-värdet 2,5 i valfri ekvation och lösa ut x, t.ex.
a) x + 2y - 2 = 0
x + 22,5 - 2 = 0
x + 5 - 2 = 0
x = -3
larsolof skrev :a) x + 2y - 2 = 0
b) 3y = 1,5x + 12Additionsmetod = addera VL och HL i de två ekvationerna, men för att det ska
leda till en lösning så ska additionen göra att alla x-termer eller y-termer försvinner.
För att det ska bli så i detta exempel gör jag om a)x + 2y - 2 = 0
2y = -x + 2multiplicerar VL och HL med 1,5
3y = -1,5x + 3
Nu har jag -1,5x i a) och +1,5x i b) så nu adderar jag a) och b) ledvis.
a) 3y = -1,5x + 3
b) 3y = 1,5x + 12a+b) 6y = 3 + 12
6y = 15
y = 2,5Nu kan jag sätta in y-värdet 2,5 i valfri ekvation och lösa ut x, t.ex.
a) x + 2y - 2 = 0
x + 22,5 - 2 = 0
x + 5 - 2 = 0
x = -3
Hur gjorde du om x + 2y - 2 = 0
till 2y = -x + 2 då?
x + 2y - 2 = 0
minus x i både VL och HL
2y - 2 = -x
plus 2 i både VL och HL
2y = -x + 2
larsolof skrev :x + 2y - 2 = 0
minus x i både VL och HL
2y - 2 = -x
plus 2 i både VL och HL
2y = -x + 2
Okej! Så man får addera och subtrahera (eller kan man dividera och multiplicera också?) hur många gånger man vill per ekvation bara man gör likadant i båda leden alltså?
Tex (påhittat) 3x + y - 6 = 0
Så jag kan ta -y i VL sen -y i HL och får då:
3x - 6 = -y
Sen ta + 6 i VL och +6 i HL och får då:
3x = -y + 6
Hur vet man hur långt man ska fortsätta? Man kan ju hålla på hur länge som helst med varje ekvation?
Du gör helt rätt. Detta är ju grundläggande i matematiken.
När det står = mellan VL och HL så kan du göra vilka förändringar du vill
men du måste göra lika i båda leden så att det fortfarande är =
Hur vet man hur långt man ska fortsätta?
Det bestämmer du själv, du håller på tills du räknat ut det du vill ha, t.ex. ofta x
Så när du kom till
3x = -y + 6
vill du kanske ha reda på x och då dividerar du båda leden med 3
larsolof skrev :Du gör helt rätt. Detta är ju grundläggande i matematiken.
När det står = mellan VL och HL så kan du göra vilka förändringar du vill
men du måste göra lika i båda leden så att det fortfarande är =Hur vet man hur långt man ska fortsätta?
Det bestämmer du själv, du håller på tills du räknat ut det du vill ha, t.ex. ofta xSå när du kom till
3x = -y + 6
vill du kanske ha reda på x och då dividerar du båda leden med 3
Hurra! Men hur fick gjorde du -y + 6 / 3 till 6 - y / 3 och sedan blev de två divisioner helt plötsligt, de hängde ja inte med på.
6/3 - y/3 är samma som (6-y)/3, tänk som det här:
3/a - 1/a har samma gemensam nämnare så då kan man slå ihop dem till 2/a, därför går det också bra att separera :)
Jag försöker nu lösa uppgiften men kommer inte längre än såhär då jag inte riktigt förstår det med divisionen.

amisso skrev :larsolof skrev :Du gör helt rätt. Detta är ju grundläggande i matematiken.
När det står = mellan VL och HL så kan du göra vilka förändringar du vill
men du måste göra lika i båda leden så att det fortfarande är =Hur vet man hur långt man ska fortsätta?
Det bestämmer du själv, du håller på tills du räknat ut det du vill ha, t.ex. ofta xSå när du kom till
3x = -y + 6
vill du kanske ha reda på x och då dividerar du båda leden med 3Hurra! Men hur fick gjorde du -y + 6 / 3 till 6 - y / 3 och sedan blev de två divisioner helt plötsligt, de hängde ja inte med på.
Jag bytte bara plats på -y och +6 (för att det skulle bli snyggare)
Och
(1.5x/3) + 12/3 = y
(1.5x/3) +4 =y
Samma princip lyder här med gemensam nämnare, du kan dela upp bråken eller addera bråken så länge det ör gemensam nämnare för de. :)
amisso skrev :Jag försöker nu lösa uppgiften men kommer inte längre än såhär då jag inte riktigt förstår det med divisionen.
VL är ju rätt
Dela upp bråket i HL på två bråk med samma nämnare (3)
Okej jag förstår det med nämnaren. Men hur fick ni -y blev helt plötsligt y Possitiv, och min possetiva 4 (12/3) skrev du nu -4?
Nu kom jag såhär långt men vet inte om jag gjorde rätt på 1,5x / 3.
Hur kan jag fortsätta nu?
amisso skrev :Okej jag förstår det med nämnaren. Men hur fick ni -y blev helt plötsligt y Possitiv, och min possetiva 4 (12/3) skrev du nu -4?
Råkade skriva fel suddar bort nu
PermutComb skrev :amisso skrev :Okej jag förstår det med nämnaren. Men hur fick ni -y blev helt plötsligt y Possitiv, och min possetiva 4 (12/3) skrev du nu -4?
Råkade skriva fel suddar bort nu
Ingen fara, bara bra de betyder de va inte mer invecklat haha
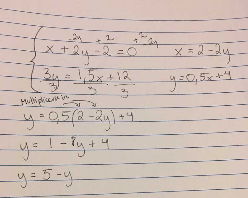
Nu kan du stoppa in uttrycket för x in i y= 0.5x + 4
y = 0.5(2+2y) +4
Hänger du med?
Men observera att nu räknar du den ursprungliga uppgiften
den som står i matteboken med x - 2y -2 = 0
och den har ju ingen lösning
Här finns jättebra information om detta med ekvationssystem som kommer förklara för dig, så att du kanske skippar vänta länge på att vi svarar. Kika in substitionsmetoden och additionsmetoden.
https://www.matteboken.se/lektioner/matte-2/linjara-funktioner-och-ekvationssystem
PermutComb skrev :Nu kan du stoppa in uttrycket för x in i y= 0.5x + 4
y = 0.5(2+2y) +4
Hänger du med?
Jag hänger med men hur blev det ett y i båda leden, det vill man ju inte ha. 
Men observera att nu räknar du den ursprungliga uppgiften
den som står i matteboken med x - 2y -2 = 0
och den har ju ingen lösning
Räkna med x + 2y - 2 = 0 istället så du får ett vettigt svar
larsolof skrev :Men observera att nu räknar du den ursprungliga uppgiften
den som står i matteboken med x - 2y -2 = 0
och den har ju ingen lösning
Som larsolof skriver så saknar denna ekvation lösning därför blir det 0 i en sidan när y tar ut varandra.
PermutComb skrev :Här finns jättebra information om detta med ekvationssystem som kommer förklara för dig, så att du kanske skippar vänta länge på att vi svarar. Kika in substitionsmetoden och additionsmetoden.
https://www.matteboken.se/lektioner/matte-2/linjara-funktioner-och-ekvationssystem
Tack. Jag har skrivit ut dessa och formelblad och har även matteboken framför mig, men jag är sån som lär mig bäst genom att fråga mig fram det jag undrar så faller puzzelbitarna på sin plats automatiskt allteftersom och ger klarhet. Inte de lättaste att läsa på distans utan lärare att fråga hela tiden, men är så tacksam för att jag hittade denna sidan och att ni hjälper mig.
Räkna med x + 2y - 2 = 0 istället så du får ett vettigt svar
Jag måste tyvärr gå just nu, (kanske krångligt att jag kom in när larsolof som är mycket kunnigare och mer pedagogisk fanns redan här, ber om ursäkt ifall jag störde er.) Lycka till med uppgiften, ekvationssystem kan kännas jobbiga i början men med tiden kommer du säkert blir bra på dessa. Övning ger färdighet. Gott nytt år!
amisso skrev :PermutComb skrev :Nu kan du stoppa in uttrycket för x in i y= 0.5x + 4
y = 0.5(2+2y) +4
Hänger du med?
Jag hänger med men hur blev det ett y i båda leden, det vill man ju inte ha.
Som du ser slutar detta med att y = 5 + y (vilket är omöjligt)
och det beror på att det är ett tryckfel i uppgiften.
Börja om med x + 2y - 2 = 0
larsolof skrev :
amisso skrev :PermutComb skrev :Nu kan du stoppa in uttrycket för x in i y= 0.5x + 4
y = 0.5(2+2y) +4
Hänger du med?
Jag hänger med men hur blev det ett y i båda leden, det vill man ju inte ha.
Som du ser slutar detta med att y = 5 + y (vilket är omöjligt)
och det beror på att det är ett tryckfel i uppgiften.
Börja om med x + 2y - 2 = 0
Jag försökte räkna om med ändringen som du skrev men det blir endå inte rätt. Vad gör jag för fel?
Jo, det blir rätt då. Jag har sett alla dina bilder och du räknar rätt.
Ändra minus till plus i startekvationen och räkna lika som förra gången. Visa gärna bilder så kolla jag.
larsolof skrev :Jo, det blir rätt då. Jag har sett alla dina bilder och du räknar rätt.
Ändra minus till plus i startekvationen och räkna lika som förra gången. Visa gärna bilder så kolla jag.
Hur jag än funderar så får jag det till såhär och de känns inte rätt, jag vill ju ha ett ensamt y i VL. 
Det är rätt !! Men inte klart.
Addera y i både VL och HL
larsolof skrev :Det är rätt !! Men inte klart.
Addera y i både VL och HL
Ja just de, att ja inte tänkte på det!
Då hoppas jag verkligen att jag lyckats lösa detta korrekt nu - med additionsmetoden för att va extra punktlig :)
Tack för ditt tålamod och din hjälp på alla mina frågor och gott nytt år!

Gott Nytt År själv :)
Tack larsolof för din fina förklaring med att rita upp linjerna och vi kunde se att de inte korsade varandra. Ett enkelt och bra sätt att kolla!

larsolof skrev :