8 svar
100 visningar

Lösa värmeekvationen med variabelseparation

Hej!

Jag sitter med differentialekvationen nedan:

ut=α2ux2\displaystyle \frac{\partial u}{\partial t}=\alpha \frac{\partial ^2 u}{{\partial x}^2}

med initialvillkor u0,x=fxu\left(0,x\right)=f\left(x\right)

Jag började med att ansätta ux,t=XxTtu\left(x,t\right)=X\left(x\right)T\left(t\right). Om vi sätter in detta i differentialekvationen erhåller vi:

T'tTt=αX''xXx=λ=konstant\displaystyle \frac{T^\prime\left(t\right)}{T\left(t\right)}=\alpha \frac{X^{\prime\prime}\left(x\right)}{X\left(x\right)}=\lambda=\text{konstant}

Efter lösning av båda dessa ODEs separat fick jag:

Xx=Aexλ/α+Be-xλ/α\displaystyle X\left(x\right)=Ae^{x\sqrt{\lambda/\alpha}}+Be^{-x\sqrt{\lambda/\alpha}}

Tt=Ceλt\displaystyle T\left(t\right)=Ce^{\lambda t}

Hur fortsätter man vidare härifrån? Har jag redan här kanske missat lösningar på XX och TT?

Gunnar_ 9
Postad: 22 jan 22:45

Man brukat sätta konstanten = -λ,

så slipper man exponentiellt växande lösningar, vilka man inte ofta stöter på när det gäller värmeledning.

Okej, då kör jag på det istället!

Men hur skulle man ta sig vidare principiellt efter att vi har bestämt XX och TT som ovan? Har vi fångat alla lösningar redan?

LuMa07 539
Postad: 23 jan 07:39

Vad har du för intervall för x? Finns det några randvillkor?

naytte Online 7681 – Moderator
Postad: 23 jan 12:27 Redigerad: 23 jan 12:27

Jag har inga randvillkor utan jag ville försöka lösa den så generellt som möjligt. Intervallet för xx kan vi väl låta vara 0xL0 \le x\le L.

LuMa07 539
Postad: 23 jan 16:29

Hmmm... Då är problemet otillräckligt specificerat. Det finns oändligt med lösningar beroende på vad u(x,t)u(x,t) (eller eventuellt X(x)X(x)) gör vid x=0x=0 respektive x=Lx=L.

 

Önskar man sig att återuppfinna Fourierserier, så vill man ha homogena randvillkor, t.ex. X(0)=X(L)=0X(0) = X(L) = 0 eller X'(0)=X'(L)=0X^\prime(0)=X^\prime(L)=0 eller någon blandning av dessa.


Om intervallet för xx bestod av hela reella tallinjen och man sökte en begränsad lösning u(x,t)u(x,t), så kunde man uttrycka lösningen u(x,t)u(x,t) som faltning av f(x)f(x) och värmekärnan (heat kernel). Detta kan motiveras/härledas m.h.a. Fouriertransformen. (Det går att använda variabelseparation, men den behövs egentligen inte.)

D4NIEL 3392
Postad: Igår 23:04 Redigerad: Igår 23:31

Som LuMa påpekar är nästa naturliga steg att ansätta randvillkor och se vad man får för lösningar. Vi kan till exempel tänka oss att vi räknar på en homogen stav som är isolerad (inget flöde) i båda ändar, dvs X(0)=X(l)=0X(0)=X(l)=0

Jag tror det är lättare för dig att arbeta med lösningar på formen

Tt=C0eAktT\left(t\right)=C_0e^Akt
X(x)=C1cosλx+C2sinλx,  λ=-AX(x)=C_1\cos\left(\lambda x\right)+C_2\sin\left(\lambda x\right),\quad\lambda = \sqrt{-A}

Om du nu ansätter randvillkoret X(0)=0X(0)=0  kommer C1=0C_1=0 och för att få något annat än C2=0C_2=0 för X(l)=0X(l)=0  (vilket vore en tråkig lösning, vi är intresserade av icke-triviala icke-tråkiga lösningar) så får du ett kvar ett intressant krav samt en samling lösningar.

Fundera slutligen över ett giltigt initialvillkor u(x,0)=f(x)u(x,0)=f(x), hur kan ett sådant f(x)f(x) se ut? 

Kan det här ha något med Fourierserier att göra?

naytte Online 7681 – Moderator
Postad: Igår 23:58 Redigerad: Igår 23:59

Hej, tack för alla svar!

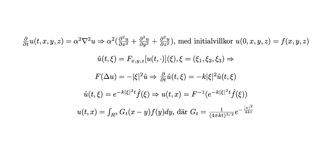
Detta har inget med Fourier direkt att göra utan är för en kurs i Fourieranalys där vi måste hålla en presentation där vi ska presentera en motivering till varför man behöver Fouriertransformer. Vi tänkte ha med ett exempel där vi löser värmeekvationen med både variabelseparation och Fouriertransform och visar att det ena blir bra mycket jobbigare än det andra. Här är exemplet som min (mycket kunnigare än jag) kursare kokade ihop för den tredimensionella värmeekvationen:

 A math equations on a white background

AI-generated content may be incorrect.

Jag försöker lösa den endimensionella värmeekvationen med samma typ av villkor som han använde. Vad jag kan se hade han väl endast ett begynnelsevillkor och inget annat?

LuMa07 539
Postad: Idag 07:54 Redigerad: Idag 08:00

Ok, då är det nog xx\in\mathbb{R} som ger motsvarande endimensionellt problem. Säg att man söker en begränsad lösning till värmeledningsekvationen med begynnelsevillkoret u(x,0)=f(x)u(x,0)=f(x), xx\in\mathbb{R}, (där f:f: \mathbb{R} \to \mathbb{R} är en kontinuerlig funktion sådan att -|f(x)|dx<\int_{-\infty}^\infty |f(x)|\,dx < \infty)


Jag vill hellre ha α\alpha i exponenten hos T(t)T(t), så jag väljer att X''(x)=λX(x)X^{\prime\prime}(x) = \lambda X(x) är den ena ODE:n och T'(t)=αλT(t)T^\prime(t)=\alpha\lambda T(t) med samma λ\lambda \in \mathbb{R} är den andra ODE:n. (Detta är oväsentligt och bara en vanesak, men jag tycker man får snyggare uttryck på vägen.)

Nu ska man lösa ODE:erna. Börja med tidsfunktionen:

T(t)=C(λ)eαλtT(t) = C(\lambda)\,e^{\alpha \lambda\,t}

Man söker lösningar som är begränsade för t0t \ge 0. Detta kräver att λ0\lambda \le 0. Man kan då tänka sig att λ=-ω2\lambda = -\omega^2 för något reellt tal ω\omega.

Nu tittar man på X''(x)=-ω2X(x)X^{\prime\prime}(x) = -\omega^2 X(x). Denna ekvation löses av

X(x)=A(ω)eiωx+B(ω)e-iωxX(x) = A(\omega) e^{i\,\omega x} + B(\omega) e^{-i\,\omega x} ifall ω0\omega \ne 0

och

X(x)=A(0)+B(0)xX(x) = A(0) + B(0)\,x ifall ω=0\omega = 0. Eftersom en begränsad lösning sökes, så måste B(0)=0B(0) = 0.

Man kan alltså säga att varje funktion skriven på formen X(x)=A(ω)eiωxX(x) = A(\omega) e^{i\,\omega x} med ω\omega \in \mathbb{R} är en lösning till ODE:n X''(x)=-ω2X(x)X''(x)=-\omega^2 X(x).

Slutsats: Varje funktion uω(x,t)=Xω(x)Tω(t)=F(ω)e-αω2teiωxu_\omega(x,t) = X_\omega(x)T_\omega(t) = F(\omega)\,e^{-\alpha\,\omega^2\,t} e^{i\,\omega\,x}, där F(ω)=C(-ω2)A(ω)F(\omega) = C(-\omega^2)\,A(\omega) och ω\omega \in \mathbb{R}, uppfyller ekvationen ut'=αuxx''u^\prime_t = \alpha u^{\prime\prime}_{xx}


Varje superposition (d.v.s. linjär kombination) av uω(x,t)u_\omega(x,t) med olika omegor också uppfyller PDE:n. Eftersom det finns ett kontinuum av omegor, så ges superpositionen inte av en ändlig summa med olika omegor, utan av en integral med omega som integrationsvariabeln:

u(x,t)=-F(ω)e-αω2teiωxdωu(x,t) = \int_{-\infty}^\infty F(\omega)\,e^{-\alpha\,\omega^2\,t}\,e^{i\,\omega\,x}\,d\omega

Denna funktion också uppfyller PDE:n, vilket man inser genom att derivera m.a.p. x och t under integraltecknet. Det är inte alls trivialt att bevisa att man faktiskt får derivera innanför integralen, men låt oss vara optimister.

Frågan är vad som ska väljas som F(ω)F(\omega). Lösningen skall uppfylla begynnelsevillkoret u(x,0)=f(x)u(x,0)=f(x), vilket ger sambandet:

f(x)=-F(ω)eiωxdωf(x) = \int_{-\infty}^\infty F(\omega)\,e^{i\,\omega\,x}\,d\omega

d.v.s. f(x)f(x) skall vara inversfouriertransformen av F(ω)F(\omega) eller snarare omvänt: F(ω)F(\omega) skall vara fouriertransformen av f(x)f(x). (Bortsett från eventuell normeringsfaktor 2π2\pi eller 2π\sqrt{2\pi}.)

Man har alltså kommit fram till att

u(x,t)=-Fωe-αω2teiωxdω=-1[Fωe-αω2t](x)u(x,t) = \int_{-\infty}^\infty F\left(\omega\right)\,e^{-\alpha\,\omega^2\,t}\,e^{i\,\omega\,x}\,d\omega = \mathcal{F}^{-1} [F\left(\omega\right)\,e^{-\alpha\,\omega^2\,t}](x)

(Jag vet inte vilken variant av Fouriertransformen ni använder, så eventuell normeringsfaktorn 2π2\pi eller 2π\sqrt{2\pi} kan behöva läggas till.)

Enligt räknelagarna för (invers)fouriertransformen får man att uttrycket i HL är helt enkelt faltning av f(x)f(x) med värmekärnan.

Svara
Close