Lösning med hjälp av faktorisering
Kan dessa lösningar stämma?
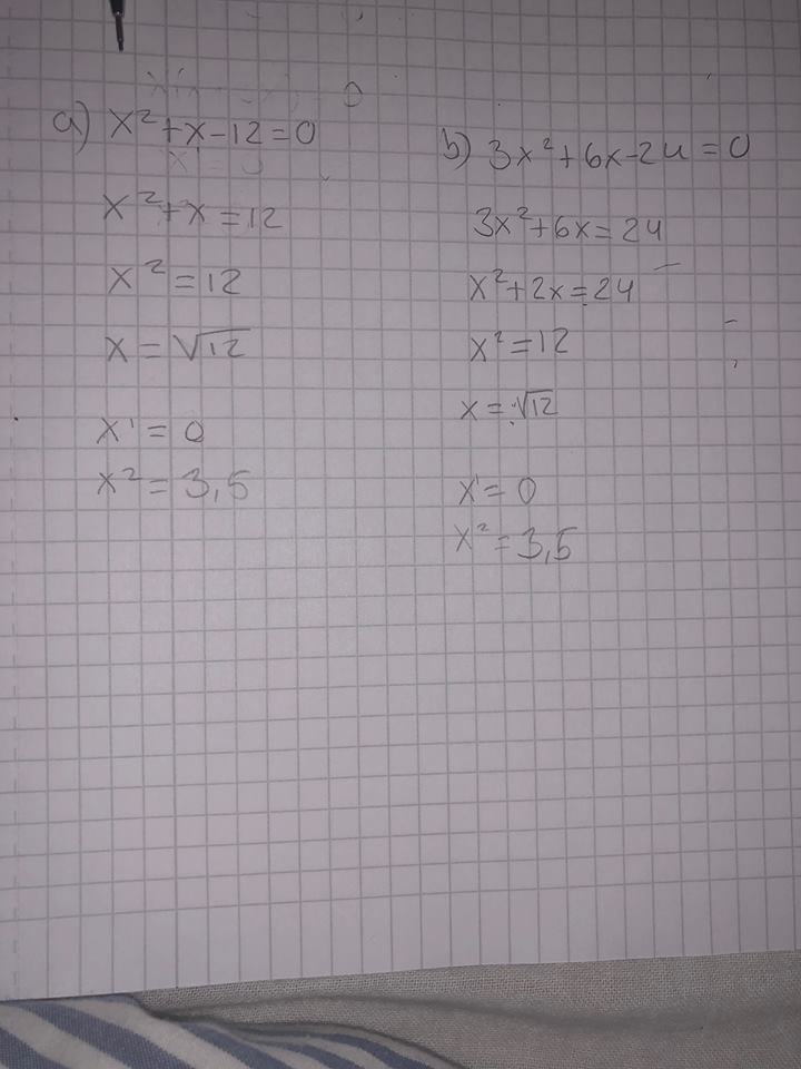
a. x² + x -12 = 0
b. 3x² + 6x -24 = 0

Madde-B skrev:Kan dessa lösningar stämma?
a. x² + x -12 = 0b. 3x² + 6x -24 = 0
På uppgift a) Vart försvinner X:et ?
Det är lättare om du använder en känd formel som kallas för pq-formeln för att lösa en sådan fullständig andragradsekvation.
Madde-B skrev:Kan dessa lösningar stämma?
a. x² + x -12 = 0b. 3x² + 6x -24 = 0
Du kan själv kontrollera om det stämmer. Vet du hur du ska göra det?
stämmer detta bättre?
x=-3
x=4

Madde-B skrev:stämmer detta bättre?
Nja, inte direkt. En andragradsekvation löses m.h.a. PQ-formeln och då är lösningarna givna av .
Försök se var du gjorde fel.
Madde-B skrev:stämmer detta bättre?
x=-3
x=4
Du kan själv kontrollera om det stämmer. Vet du hur du ska göra det?
Om ja, gör det. Det är bra träning.
Om nej, vill du lära dig det? Det är bra att kunna.
Nej jag vet inte hur jag kontrollerar, jag tar gärna emot hjälp.
Jag förstår inte vart jag har gjort fel menar du att ?
Madde-B skrev:Nej jag vet inte hur jag kontrollerar, jag tar gärna emot hjälp.
Du gjorde fel
Tack! :D
Madde-B skrev:Nej jag vet inte hur jag kontrollerar, jag tar gärna emot hjälp.
Säg att du har löst en ekvation och kommit fram till ett svar som du är osäker på.
Då kan du kontrollera om svaret verkligen stämmer genom att sätta in det i ursprungsekvationen och se om ekvationen då är "uppfylld", dvs om ekvationen utgör ett sant påstående.
Exempel:
Du löser ekvationen och kommer fram till att lösningen är och .
Nu kan du kontrollera dina svar genom att sätta in istället för och i ekvationen och se om den är uppfylld. Sedan kan du sätta in istället för i ekvationen och se om den är uppfylld.
Om ekvationen är uppfylld för både och så är dina svar korrekta, annars inte.
Vi testar med i ekvationen:
Om är en lösning till ekvationen så måste det gälla att
Förenkla vänsterledet:
Det stämmer inte. Alltså är inte en lösning till ekvationen.
Då har jag gjort fel någonstans.
--------------
Jag gjorde om lösningen och kom fram till att min ekvation istället har lösningarna och .
Nu prövar jag dessa lösningar i ekvationen, börjar med :
Om är en lösning till ekvationen så måste det gälla att
Förenkla vänsterledet:
Det stämmer! Alltså är en lösning till ekvationen.
Då testar vi den andra lösningen.
Om är en lösning till ekvationen så måste det gälla att
Förenkla vänsterledet:
Det stämmer! Alltså är även en lösning till ekvationen.
Båda lösningarna stämmer. Alltså är svaret rätt!