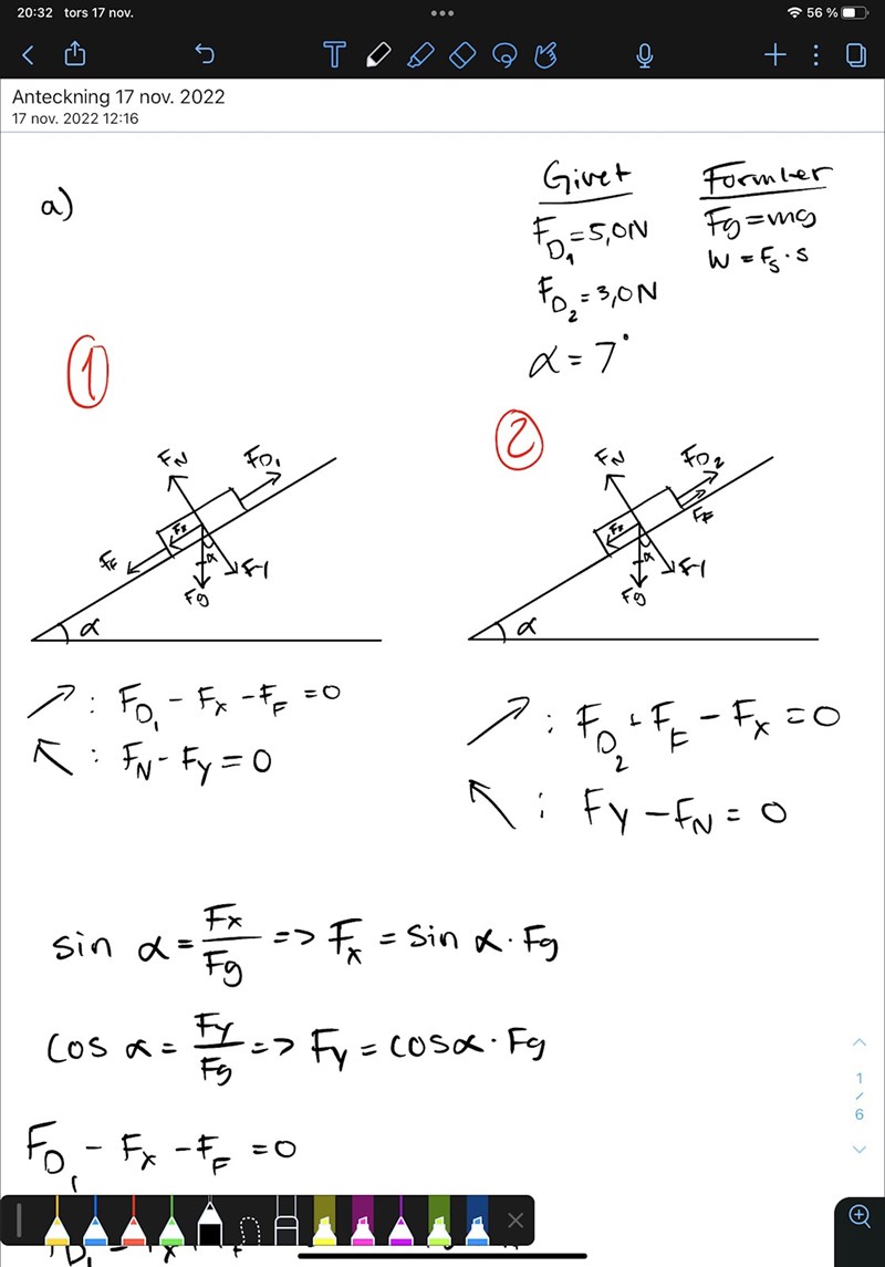
Lutande plan






Ursäkta för så många bilder. Men vill gärna veta om jag tänker rätt? Ser något helt tokigt ut så skriv gärna så att jag kan lära mig. Tacksam för alla möjliga svar. Om det är något otydligt så skriv. Undrar sen hur jag ska ta mig vidare på fråga E, någon som har något tips?
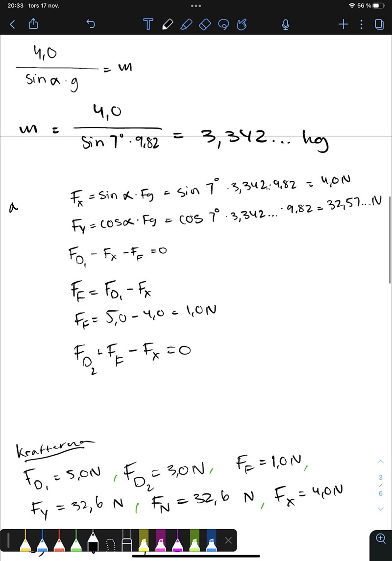
Du har bra jobbat!
Men i d) blir arbetet negativt, eftersom rörelse och kraft pekar i motsatta riktningar.
e) och f): Friktions arbete: WF = FF*s (och är alltid nagativt)
(Wikipedia skriver om arbetet: "Arbetet räknas med tecken som beror av kraftens och rörelsens relativa riktningar. Om kraften har en komponent i rörelsens riktning (-90° < θ < 90°) är arbetet positivt och om den har en komponent i motsatt riktning är arbetet negativt. Positivt arbete innebär att energi tillförs det objekt som är föremål för kraftverkan och negativt arbete att objektet förlorar energi.")
Så friktionsarbetet kommer alltså vara 1,0N * 16,411..= 16,411..N för friktionsarbetet uppåt
och detsamma för arbetet neråt? Alltså 16,411…N?
Ja, men som sagt, alltid med minustecken.