Mafy 2010 uppgift 26
Hej!
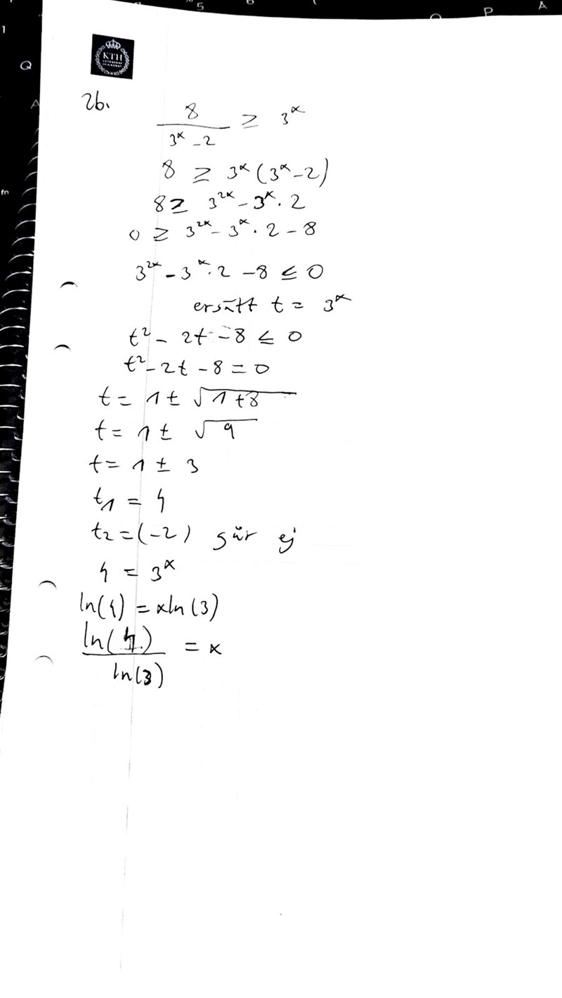
Såhär löste jag nedan men jag vet ej hur jag ska tänka vidare,för det ser ut som att olikheten har bara endast en lösning då -2 ej är giltig pga negativa värden för log är ej definierad.
.jpg?width=800&upscale=false)
Det kan hjälpa om man har en liten känsla för hur VL resp HL ser ut grafiskt för olika värden på x
Jag skulle testa några olika värden på x.
Man ser rätt snabbt att x < 2 och att x > 0
Inte så mycket kvar att prova...
Ture skrev:Det kan hjälpa om man har en liten känsla för hur VL resp HL ser ut grafiskt för olika värden på x
Jag skulle testa några olika värden på x.
Man ser rätt snabbt att x < 2 och att x > 0
Inte så mycket kvar att prova...
Ja det låter svårt att rita den där krångliga uttrycket,hur menar du prova?
vad bli resp sida för x = -1, 0, 1, 2
Ture skrev:vad bli resp sida för x = -1, 0, 1, 2
Hur får du fram dessa? Jag hänger ej riktigt med. Jag började ju lösa uppgiften på det sättet jag fick fram med t1=4 och t2=-2
Högerledet > 0 för alla värden på x,
Vänsterledet blir < 0 för x <= 0
för x >= 2 är VL strikt avtagande eftersom nämnaren ökar i värde
Drar du några slutsatser av det?
Ture skrev:Högerledet > 0 för alla värden på x,
Vänsterledet blir < 0 för x <= 0
för x >= 2 är VL strikt avtagande eftersom nämnaren ökar i värde
Drar du några slutsatser av det?
Förstår ej tyvärr.. Så våra svar ligger mellan -2<=x<=4? Kan man ej köra teckentabell och tänka såhär istället då?
Eftersom HL är >0 och vl < 0 för x <= 0 måste x vara > 0
Ture skrev:Eftersom HL är >0 och vl < 0 för x <= 0 måste x vara > 0
Mha teckentabell fick jag 0,1,2 och 3
Vi provar med några olika värden på x
| x | VL | HL |
| 0 | -8 | 1 |
| 1 | 8 | 3 |
| 2 | 8/7 | 9 |
| 3 | 8/25 | 27 |
Bara x = 1 uppfyller olikheten
Ture skrev:Vi provar med några olika värden på x
x VL HL 0 -8 1 1 8 3 2 8/7 9 3 8/25 27 Bara x = 1 uppfyller olikheten
Okej då förstår jag. Så även x=4 uppfyller ej olikheten? Egentligen hade vi ej ens behövt titta på 2 och 4 i o med att de blir 0 asså enligt min teckentabell. Så de intressanta var väl 0,1 2 och 3.
Vad menar du med att det blir 0 för x= 2 och 4?
Ture skrev:Vad menar du med att det blir 0 för x= 2 och 4?
asså jag hade ju (x+2)(x-4)<=0. Första faktorn blir ju 0 då x=-2 och andra faktorn likaså då x=4.
Du gör ett farligt steg i dina beräkningar, jag tittar i ditt första inlägg,
Du multiplicerar bägge led med (3x-2) vilket inte är ok, när värdet är < 0!, Då måste olikhetstecknet byta riktning!
Jämför: 1 < 2, multiplicera bägge led med -1 => -1 > -2
Så om du vill lösa det algebraiskt måste du dela upp uträkningen i 2 fall.
ett fall när 3x-2 >= 0 och ett annat när 3x-2 < 0
Som du inser så kommer det att leda till en lång och farofylld uträkning där man i en provsituation lätt blir stressad och räknar fel samt rör ihop det mesta.
Jag rekommenderar att du istället försöker tänka ungefär som jag skissade i inlägg '#2 och #6, så kommer man snabbt och säkert fram till rätt svar.
Hur grafen till funktionen 3x (vilken givetvis liknar ex) ser ut på ett ungefär måste du veta!
Det är lite knepigare med vänsterledet, men att se att VL blir negativt när 3x < 2 dvs när x <= 0 bör man också kunna inse, och då kan inte olikheten ha någon lösning för x <= 0. (eftersom HL > 0 för alla x)
Ture skrev:Du gör ett farligt steg i dina beräkningar, jag tittar i ditt första inlägg,
Du multiplicerar bägge led med (3x-2) vilket inte är ok, när värdet är < 0!, Då måste olikhetstecknet byta riktning!
Jämför: 1 < 2, multiplicera bägge led med -1 => -1 > -2
Så om du vill lösa det algebraiskt måste du dela upp uträkningen i 2 fall.
ett fall när 3x-2 >= 0 och ett annat när 3x-2 < 0
Som du inser så kommer det att leda till en lång och farofylld uträkning där man i en provsituation lätt blir stressad och räknar fel samt rör ihop det mesta.
Jag rekommenderar att du istället försöker tänka ungefär som jag skissade i inlägg '#2 och #6, så kommer man snabbt och säkert fram till rätt svar.
Hur grafen till funktionen 3x (vilken givetvis liknar ex) ser ut på ett ungefär måste du veta!
Det är lite knepigare med vänsterledet, men att se att VL blir negativt när 3x < 2 dvs när x <= 0 bör man också kunna inse, och då kan inte olikheten ha någon lösning för x <= 0. (eftersom HL > 0 för alla x)
Jag får diskutera frågan med någon av livehjälpare så förstår jag det ganska snabbt tror jag. Uppgiften verkar vara lite klurig om man ej kan lösa som jag tänkte. Är ej helt med på metoden som man bör lösa den på.
Om vi försöker lösa den algebraiskt:
För att göra det enklare kallar jag 3x för A, vi får då:
Dela upp i två fall
Fall 1: A > 2, dvs att nämnaren i VL > 0
Multiplicera bägge led med nämnaren i VL (A-2) och förenkla
Vilket ger att
, men eftersom A > 2 enligt vad jag skrev i förutsättningen för fall 1, så vet vi nu att A ligger mellan 2 och 4
dvs 3x ligger mellan 2 och 4 vilket i sin tur gör att x > 0 och x < 2
Fall 2: A < 2 dvs att nämnaren i VL < 0
Vi multiplicerar bägge led med A-2, men eftersom det är ett negativt tal (A<2) måste vi vända på olikhetstecknet.
Vilket ger att
Men förutsättningarna för fall 2 är att A < 2 så det utesluter den andra lösningen, återstår
dvs 3x ska vara <= -2 vilket saknar lösning.
Så fall 2 saknar lösning.
Slutsats: Enbart fall 1 ger giltig lösning, 3x ligger mellan 2 och 4 vilket i sin tur gör att x > 0 och x < 2. Enda heltalslösningen i det intervallet är x = 1.
Eftersom jag började lösningen på samma sätt som dig destiny99 innan jag övergick till Tures metod, så har jag nu gjort en undersökning med hjälp av GeoGebra. Jag vet att man inte har tillgång till räknare av något slag på provet. Det här är bara för förståelsen.
I den första figuren ser vi var V.L. och H.L möts och vi ser också att V.L. som jag kallat f(x) bara är större mellan asymptoten och skärningspunkten. Dvs. c:a

I den undre bilden ser vi att det enda du och jag fick fram först var x-värdet för skärningspunkten.
Om det här ger dig någon vettig information kan jag berätta lite till.