Mafy 2019 uppgift 28

hej!
Facit får det till 5pi/6 och jag förstår ej varför. Borde ej 11pi/6 vara rätt svar?
Prova att räkna ut sin(x)-cos(x) för x = 11 pi/6 så ser du kanske vad som har hänt.
Laguna skrev:Prova att räkna ut sin(x)-cos(x) för x = 11 pi/6 så ser du kanske vad som har hänt.
Jag får 1/2-sqrt(3)/2. Men vad vill du komma fram till? Försökte du säga att alla vinklar jag kom fram till är basically samma värde som 5pi/6?
Får du 1/2 - sqrt(3)/2? Det är inte samma som 1/2 + sqrt(3)/2.
Laguna skrev:Får du 1/2 - sqrt(3)/2? Det är inte samma som 1/2 + sqrt(3)/2.
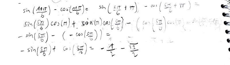
Precis, jag gjorde såhär
-1.jpg?width=800&upscale=false)
Ja, då är ju 11 pi/6 inte en lösning.
Kommer du på varför den dök upp som möjlig lösning?
Laguna skrev:Ja, då är ju 11 pi/6 inte en lösning.
Kommer du på varför den dök upp som möjlig lösning?
Aa för att den ligger i sökta intervallet , så jag måste även undersöka de övriga vinklarna för att se om de är ekvivalenta med 1+sqrt(3)/2 och är de ej det så är det bara 5pi/6 som är enda lösningen?
Svaret jag var ute efter var att när du kvadrerar så får du också med dom fall där vänsterledet är negativt och högerledet positivt, och dom måste du sortera bort på något sätt innan du är klar.
Laguna skrev:Svaret jag var ute efter var att när du kvadrerar så får du också med dom fall där vänsterledet är negativt och högerledet positivt, och dom måste du sortera bort på något sätt innan du är klar.
Hm nu hänger jag ej med. Aa jag sorterade dem ja? Det är därför vi fick de där lösningarna i vårt intervall.
Om vi tittar på dina lösningar så ser vi att 11pi/6 kan sorteras bort eftersom sinX är negativ i fjärde kvadranten.
Däremot så ser vi att 4pi/6 som kan skrivas som 2pi/3 har en lösning i andra kvadranten.
och vilket uppfyller de givna villkoren.
10pi/6 kan skrivas som 5pi/3 och kan också sorteras bort då sinx är negativ i fjärde kvadranten.
Då har vi två möjliga lösningar eller bägge i andra kvadranten. Vem är då störst?.
Ja är större än
Själv började jag så här:
Då kunde jag göra följande antagande:
Vi har två möjligheter
och
eller
och
Bägge uppfyller villkoren för lösning och bägge leder till dina två möjliga lösningar.
Sedan återstod att välja det största värdet av de två värdena för x.